Официальное опубликование правовых актов
ОФИЦИАЛЬНОЕ ОПУБЛИКОВАНИЕ
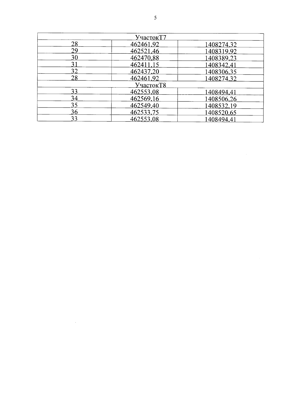
Приказ комитета государственной охраны объектов культурного наследия Волгоградской области от 17.07.2024 № 56-н
"Об утверждении границ и режимов использования территории объектов культурного наследия регионального значения, расположенных на территории городского округа город-герой Волгоград, Ленинского и Новоаннинского районов Волгоградской области"
Номер опубликования: 3401202407180002
Дата опубликования: 18.07.2024
Страница №7 из 21:
Увеличить