Официальное опубликование правовых актов
ОФИЦИАЛЬНОЕ ОПУБЛИКОВАНИЕ
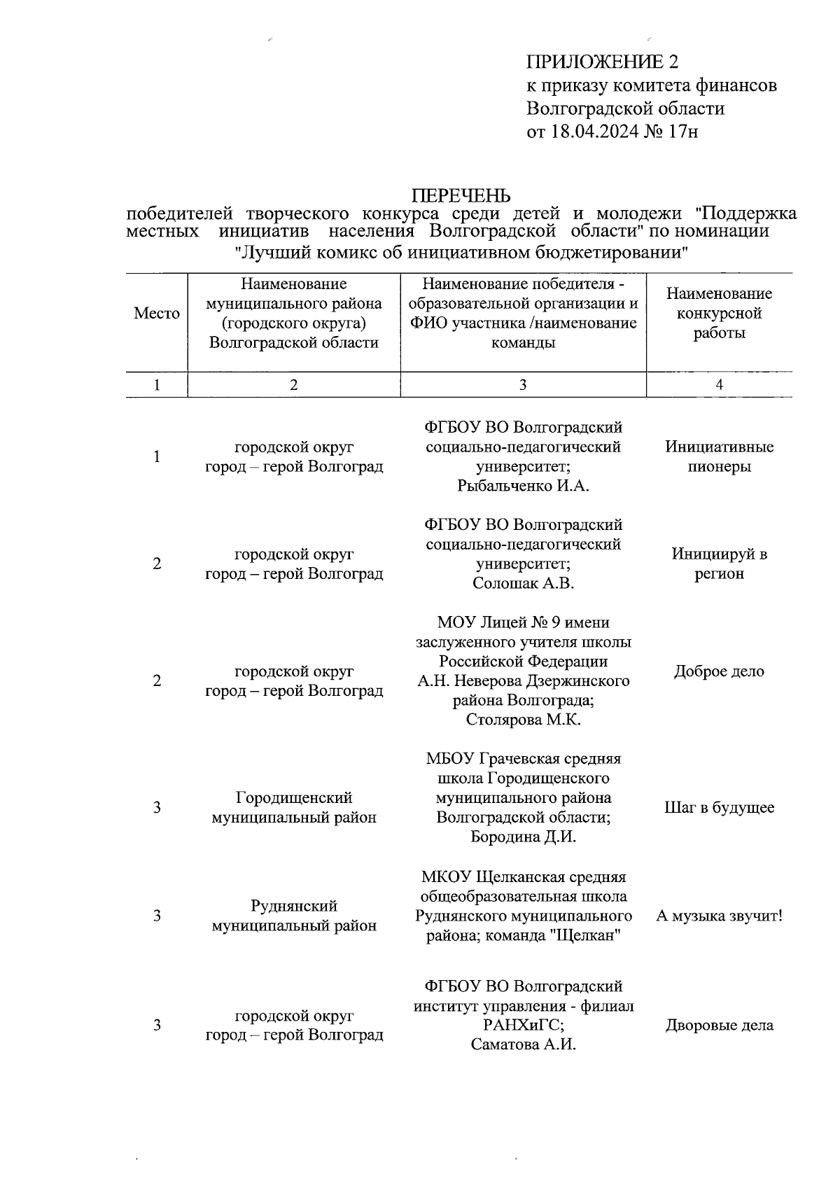
Приказ комитета финансов Волгоградской области от 18.04.2024 № 17н
"Об утверждении перечня победителей творческого конкурса среди детей и молодежи "Поддержка местных инициатив населения Волгоградской области"
Номер опубликования: 3401202404190004
Дата опубликования: 19.04.2024
Страница №5 из 7:
Увеличить