Официальное опубликование правовых актов
ОФИЦИАЛЬНОЕ ОПУБЛИКОВАНИЕ
Приказ комитета природных ресурсов, лесного хозяйства и экологии Волгоградской области от 09.04.2024 № 564-ОД
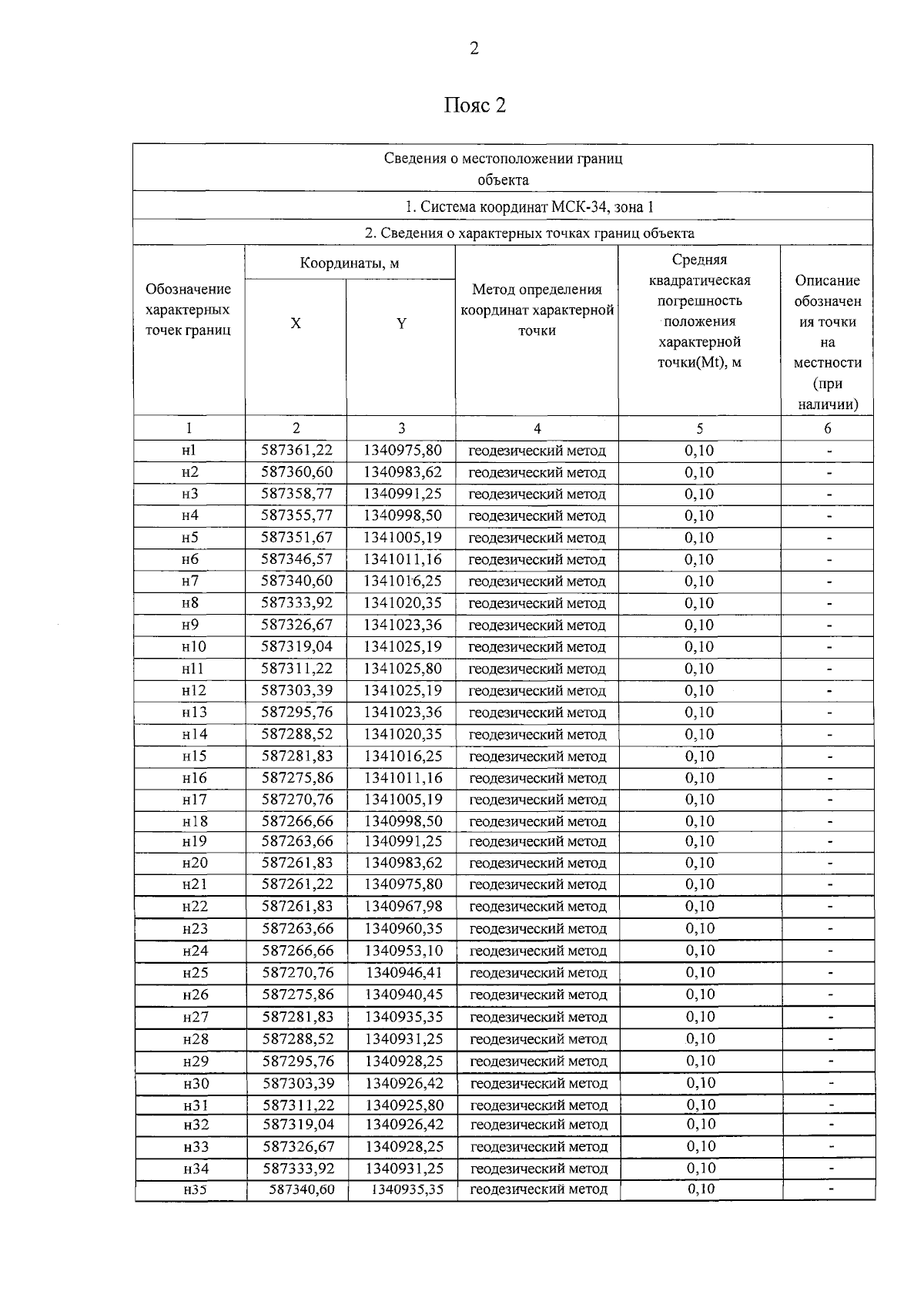
"Об утверждении решения об установлении зон санитарной охраны скважины № 2715 водозабора для питьевых и хозяйственно-бытовых нужд, расположенного по адресу: Волгоградская область, Фроловский район, в 1,0 км западнее х. Новая Паника"
Номер опубликования: 3401202404110010
Дата опубликования: 11.04.2024
Страница №7 из 10:
Увеличить