Официальное опубликование правовых актов
ОФИЦИАЛЬНОЕ ОПУБЛИКОВАНИЕ
Приказ комитета природных ресурсов, лесного хозяйства и экологии Волгоградской области от 09.04.2024 № 568-ОД
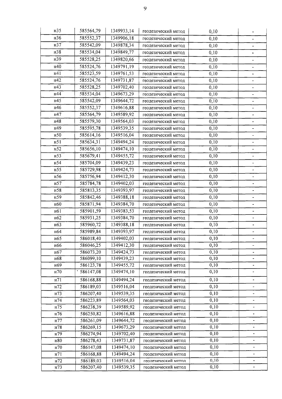
"Об утверждении решения об установлении зон санитарной охраны скважин №№ 1, 02544 водозабора для питьевых и хозяйственно-бытовых нужд, расположенного по адресу: Волгоградская область, Фроловский район, х. Красные Липки (кадастровые номера земельных участков: 34:32:120001:974, 34:32:120001:267)"
Номер опубликования: 3401202404110003
Дата опубликования: 11.04.2024
Страница №15 из 16:
Увеличить