Официальное опубликование правовых актов
ОФИЦИАЛЬНОЕ ОПУБЛИКОВАНИЕ
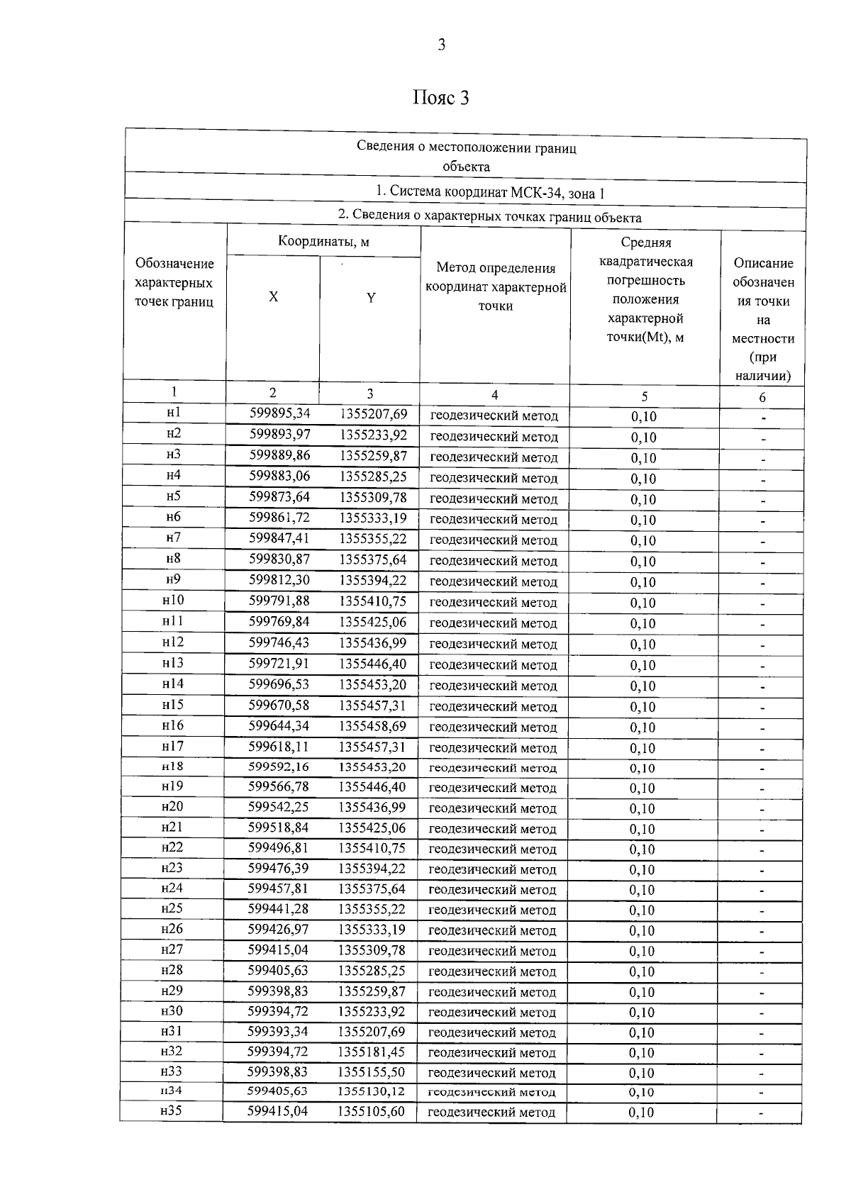
Приказ комитета природных ресурсов, лесного хозяйства и экологии Волгоградской области от 09.04.2024 № 565-ОД
"Об утверждении решения об установлении зон санитарной охраны скважины № 0420 водозабора для питьевых и хозяйственно-бытовых нужд, расположенного по адресу: Волгоградская область, Фроловский район, х. Терновка (кадастровый номер земельного участка 34:32:020004:1860)"
Номер опубликования: 3401202404110002
Дата опубликования: 11.04.2024
Страница №8 из 9:
Увеличить