Официальное опубликование правовых актов
ОФИЦИАЛЬНОЕ ОПУБЛИКОВАНИЕ
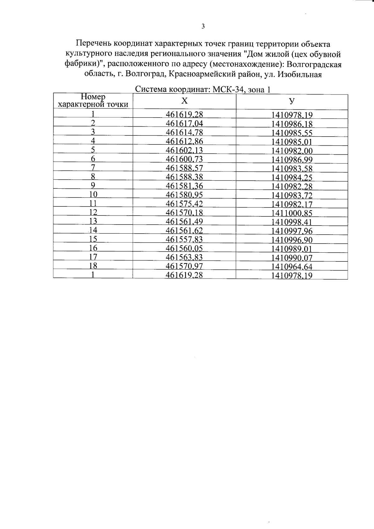
Приказ комитета государственной охраны объектов культурного наследия Волгоградской области от 27.02.2024 № 15-н
"Об утверждении границ и режимов использования территории объектов культурного наследия регионального значения, расположенных на территории городского округа город-герой Волгоград, Калачевского, Котельниковского, Новоаннинского и Урюпинского районов Волгоградской области"
Номер опубликования: 3401202402280014
Дата опубликования: 28.02.2024
Страница №5 из 30:
Увеличить