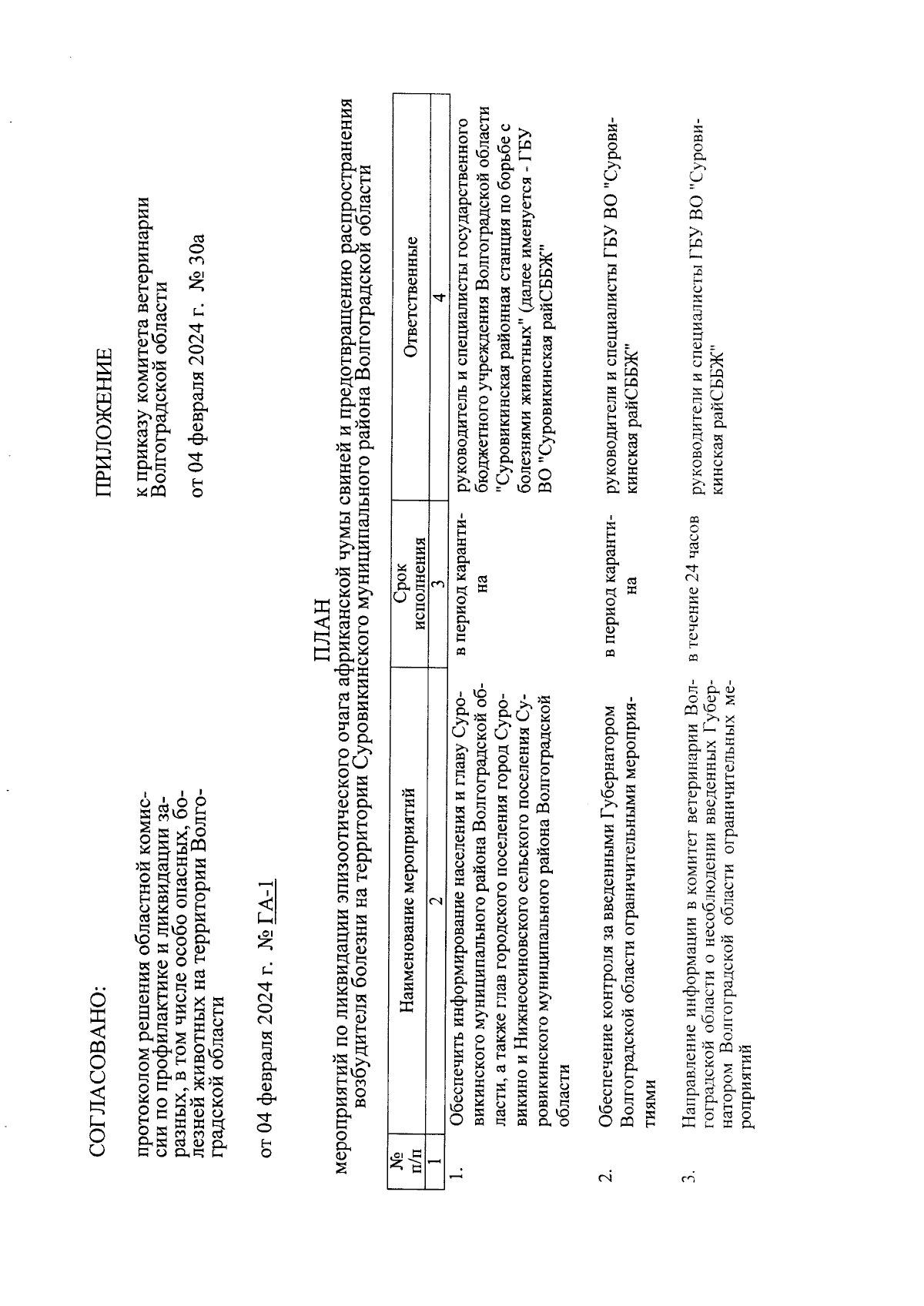
Приказ комитета ветеринарии Волгоградской области от 04.02.2024 № 30а
"Об утверждении плана мероприятий по ликвидации эпизоотического очага африканской чумы свиней и предотвращению распространения возбудителя болезни на территории Суровикинского муниципального района Волгоградской области"
"Об утверждении плана мероприятий по ликвидации эпизоотического очага африканской чумы свиней и предотвращению распространения возбудителя болезни на территории Суровикинского муниципального района Волгоградской области"
Номер опубликования: 3401202402060003
Дата опубликования:
06.02.2024
