Официальное опубликование правовых актов
ОФИЦИАЛЬНОЕ ОПУБЛИКОВАНИЕ
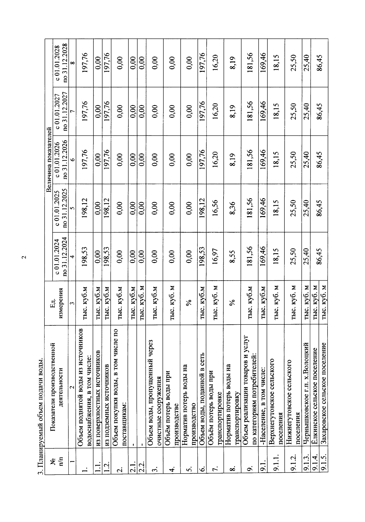
Приказ комитета тарифного регулирования Волгоградской области от 19.12.2023 № 51/53
"Об установлении тарифов на питьевую воду (питьевое водоснабжение) для потребителей муниципального бюджетного учреждения Чернышковского муниципального района "Коммунальное хозяйство" Чернышковского муниципального района Волгоградской области"
Номер опубликования: 3401202312250080
Дата опубликования: 25.12.2023
Страница №7 из 10:
Увеличить