Официальное опубликование правовых актов
ОФИЦИАЛЬНОЕ ОПУБЛИКОВАНИЕ
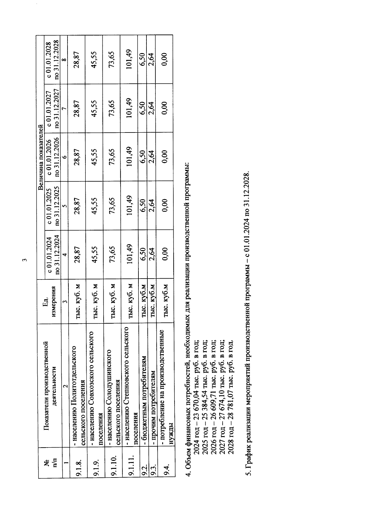
Приказ комитета тарифного регулирования Волгоградской области от 14.12.2023 № 50/57
"Об установлении тарифов на питьевую воду (питьевое водоснабжение) и водоотведение для потребителей МУП "Многоотраслевое ЖКХ" Николаевского муниципального района Волгоградской области"
Номер опубликования: 3401202312190112
Дата опубликования: 19.12.2023
Страница №8 из 14:
Увеличить