Официальное опубликование правовых актов
ОФИЦИАЛЬНОЕ ОПУБЛИКОВАНИЕ
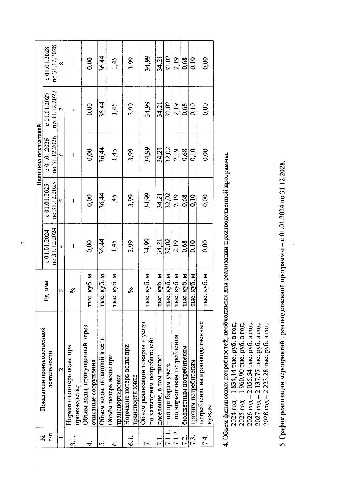
Приказ комитета тарифного регулирования Волгоградской области от 14.12.2023 № 50/69
"Об установлении тарифов на питьевую воду (питьевое водоснабжение) для потребителей МОО ТОС "Нижний" Красноярского сельского поселения Старополтавского муниципального района Волгоградской области"
Номер опубликования: 3401202312190094
Дата опубликования: 19.12.2023
Страница №6 из 8:
Увеличить