Официальное опубликование правовых актов
ОФИЦИАЛЬНОЕ ОПУБЛИКОВАНИЕ
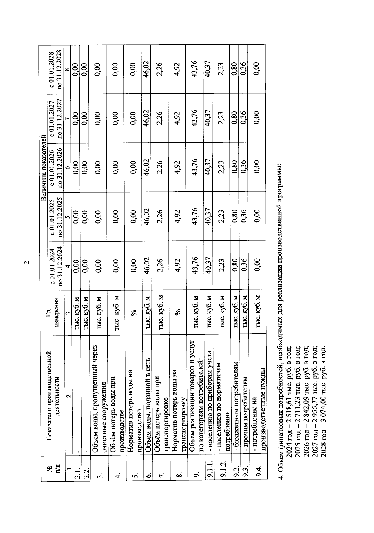
Приказ комитета тарифного регулирования Волгоградской области от 14.12.2023 № 50/23
"Об установлении тарифов на техническую воду для потребителей МУП "Веселовское" Верхнекурмоярского сельского поселения Котельниковского муниципального района Волгоградской области"
Номер опубликования: 3401202312190057
Дата опубликования: 19.12.2023
Страница №6 из 7:
Увеличить