Официальное опубликование правовых актов
ОФИЦИАЛЬНОЕ ОПУБЛИКОВАНИЕ
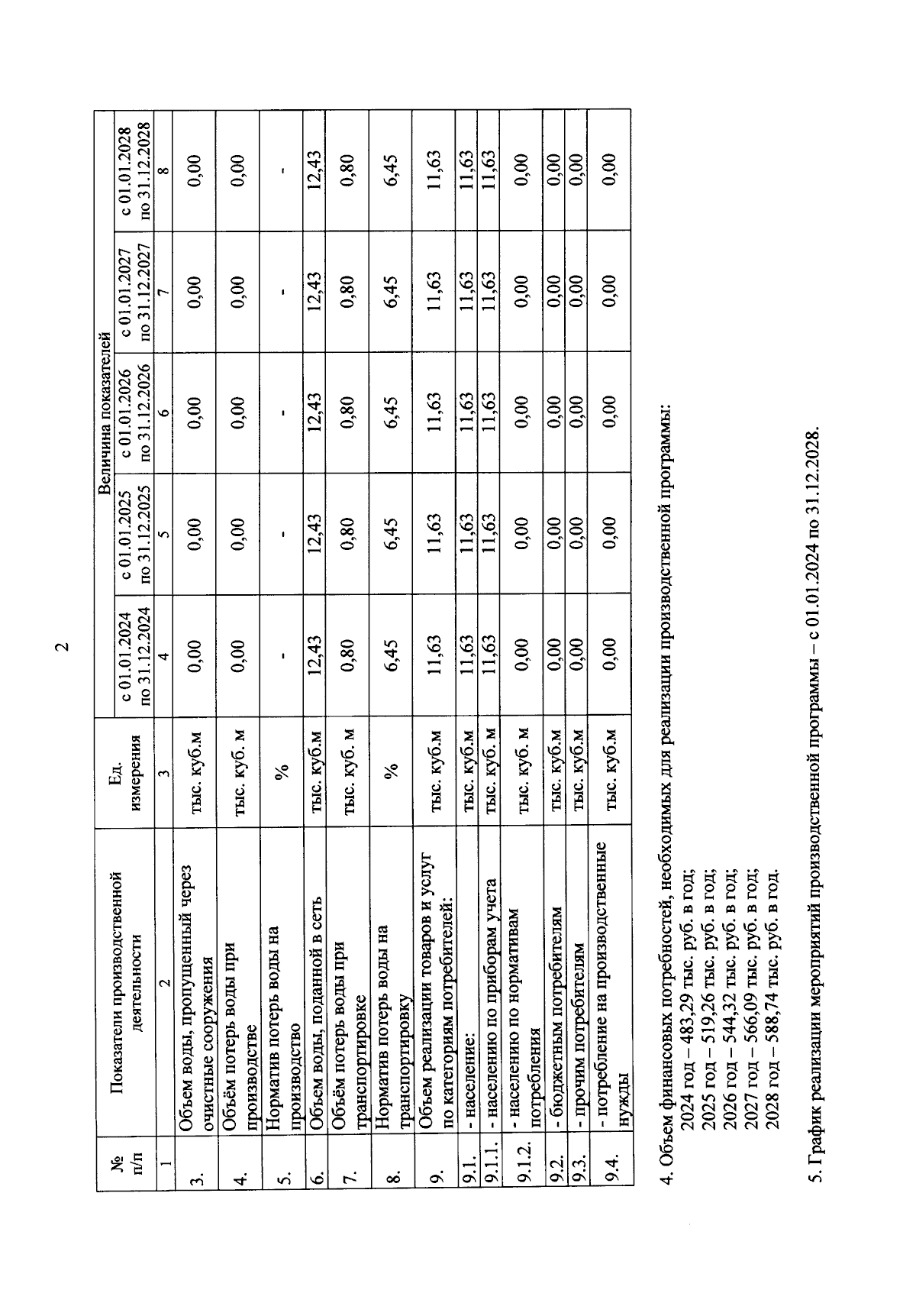
Приказ комитета тарифного регулирования Волгоградской области от 14.12.2023 № 50/49
"Об установлении тарифов на питьевую воду (питьевое водоснабжение) для потребителей МКУ "Хозяйственное управление" Ольшанского сельского поселения Урюпинского муниципального района Волгоградской области"
Номер опубликования: 3401202312190028
Дата опубликования: 19.12.2023
Страница №6 из 8:
Увеличить