Официальное опубликование правовых актов
ОФИЦИАЛЬНОЕ ОПУБЛИКОВАНИЕ
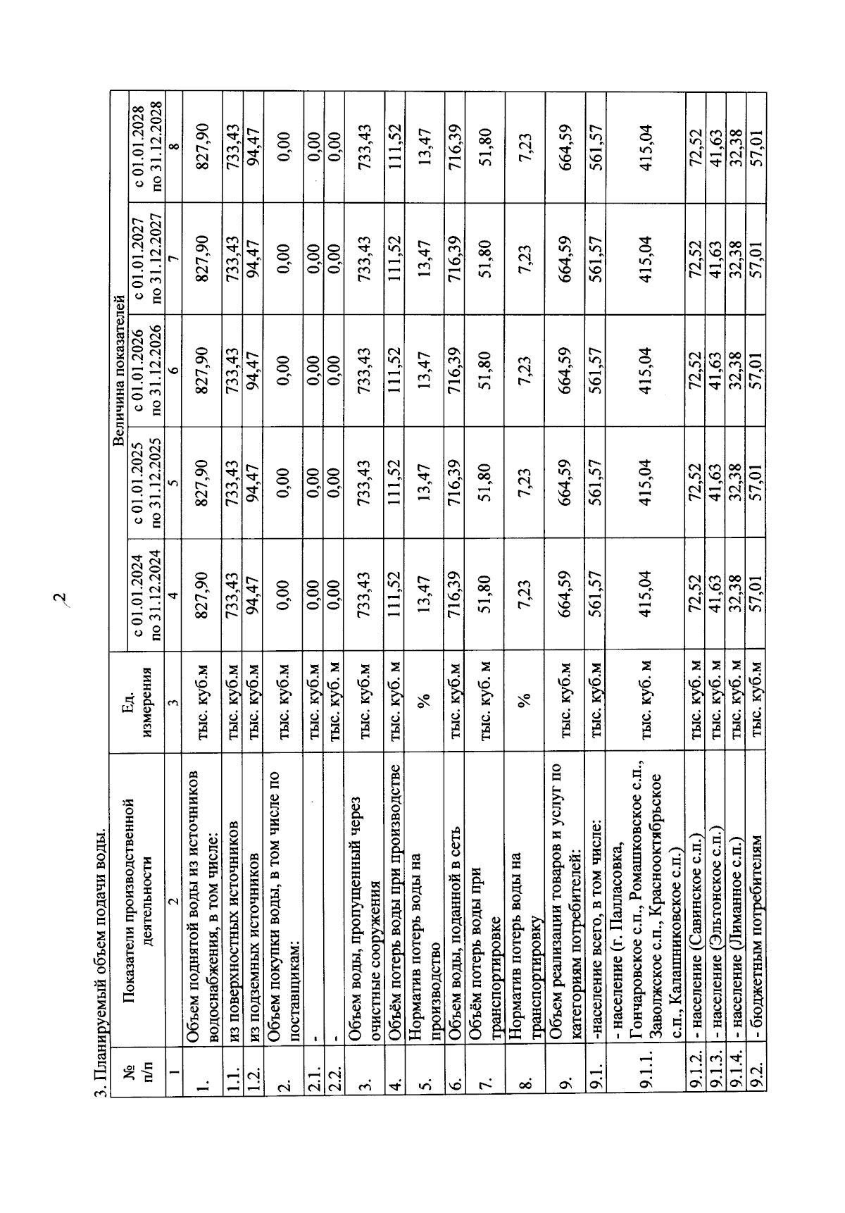
Приказ комитета тарифного регулирования Волгоградской области от 13.12.2023 № 49/24
"Об установлении тарифов на питьевую воду (питьевое водоснабжение) и техническую воду для потребителей МУП "Водоканал Палласовского района" Палласовского муниципального района Волгоградской области"
Номер опубликования: 3401202312180015
Дата опубликования: 18.12.2023
Страница №7 из 14:
Увеличить