Официальное опубликование правовых актов
ОФИЦИАЛЬНОЕ ОПУБЛИКОВАНИЕ
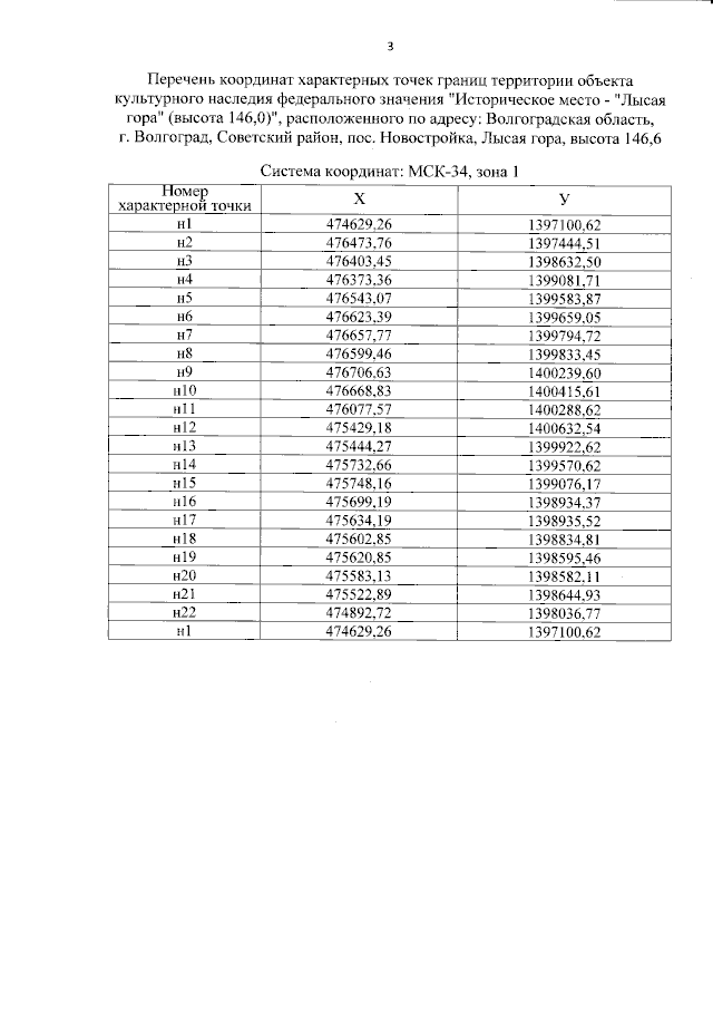
Приказ комитета государственной охраны объектов культурного наследия Волгоградской области от 04.08.2023 № 353
"Об утверждении описания местоположения границ территории объектов культурного наследия федерального значения, расположенных на территории городского округа город-герой Волгоград"
Номер опубликования: 3401202308070005
Дата опубликования: 07.08.2023
Страница №5 из 8:
Увеличить