Официальное опубликование правовых актов
ОФИЦИАЛЬНОЕ ОПУБЛИКОВАНИЕ
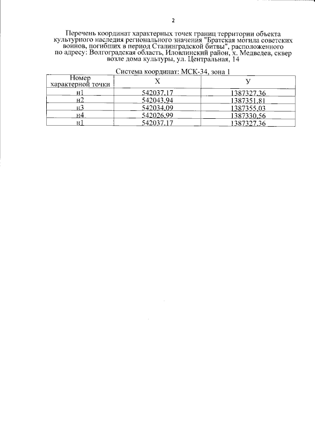
Приказ комитета государственной охраны объектов культурного наследия Волгоградской области от 10.07.2023 № 303
"Об утверждении границ и режимов использования территории ряда объектов культурного наследия регионального значения, расположенных на территории Иловлинского района Волгоградской области"
Номер опубликования: 3401202307110001
Дата опубликования: 11.07.2023
Страница №3 из 7:
Увеличить