Приказ комитета социальной защиты населения Волгоградской области от 20.12.2017 № 2067
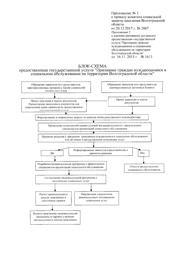
"О внесении изменений в приказ комитета социальной защиты населения Волгоградской области от 16 ноября 2015 г. № 1613 "Об утверждении административного регламента предоставления государственной услуги "Признание граждан нуждающимися в социальном обслуживании на территории Волгоградской области"
"О внесении изменений в приказ комитета социальной защиты населения Волгоградской области от 16 ноября 2015 г. № 1613 "Об утверждении административного регламента предоставления государственной услуги "Признание граждан нуждающимися в социальном обслуживании на территории Волгоградской области"
Номер опубликования: 3401201712210004
Дата опубликования:
21.12.2017
