Официальное опубликование правовых актов
ОФИЦИАЛЬНОЕ ОПУБЛИКОВАНИЕ
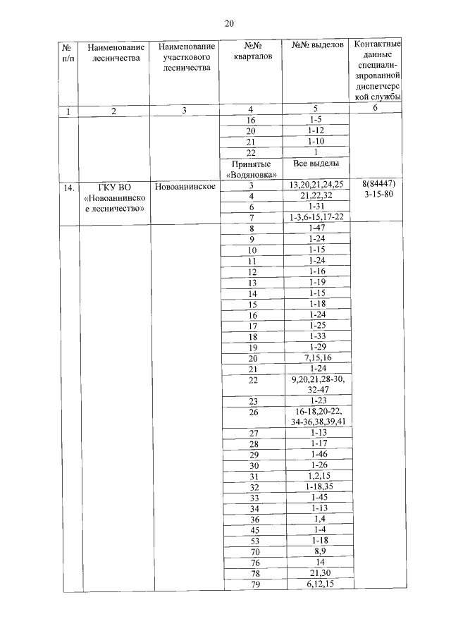
Приказ комитета природных ресурсов, лесного хозяйства и экологии Волгоградской области от 21.07.2017 № 1206
"Об ограничении пребывания граждан в лесах и въезда в них транспортных средств, а также проведения в лесах определенных видов работ в целях обеспечения пожарной безопасности в лесах"
Номер опубликования: 3401201707250012
Дата опубликования: 25.07.2017
Страница №22 из 43:
Увеличить