Официальное опубликование правовых актов
ОФИЦИАЛЬНОЕ ОПУБЛИКОВАНИЕ
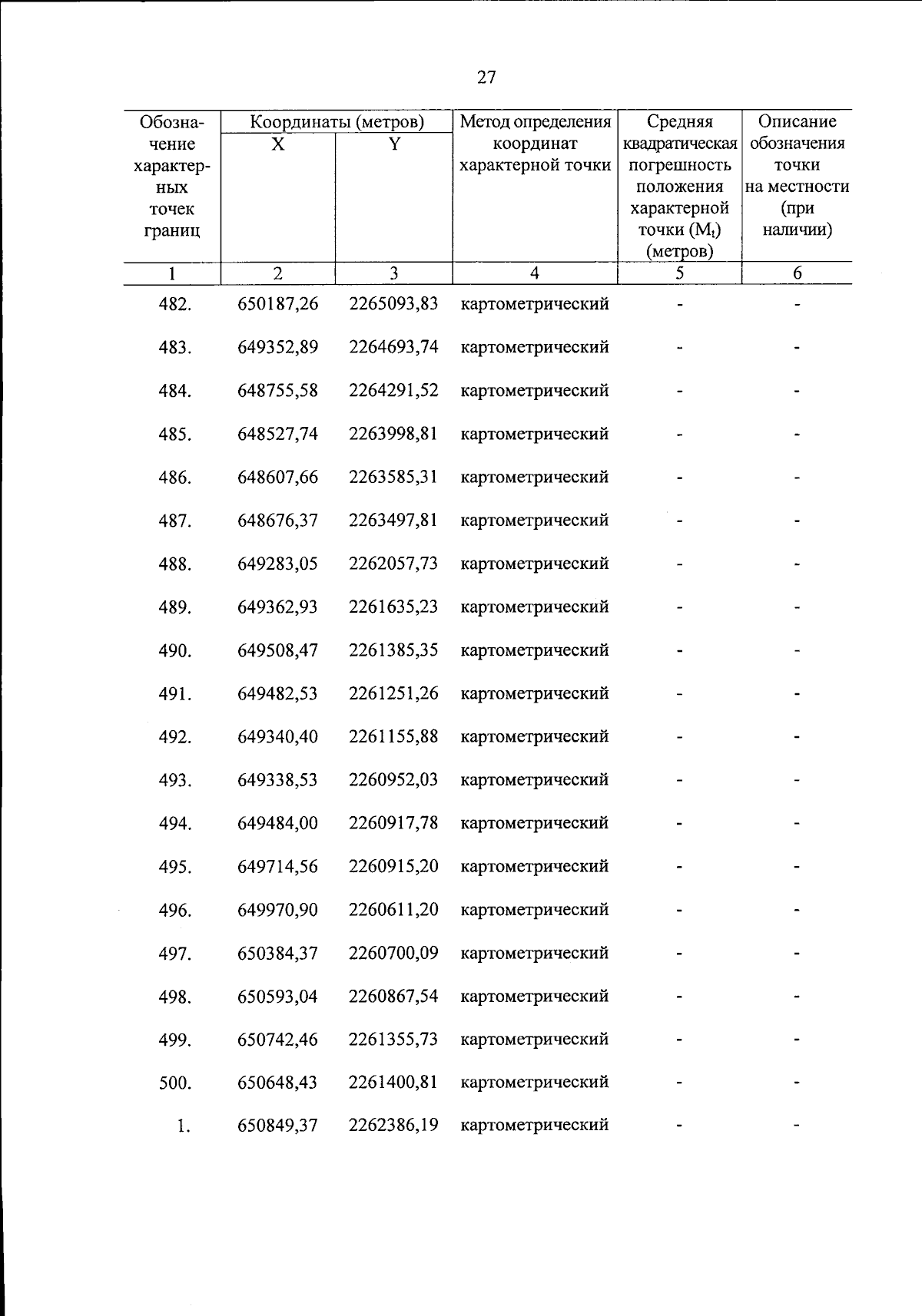
Постановление Администрации Волгоградской области от 25.03.2024 № 189-п
"О внесении изменений в постановление Администрации Волгоградской области от 22 августа 2016 г. № 456-п "Об утверждении Положения о природном парке "Щербаковский"
Номер опубликования: 3400202403270009
Дата опубликования: 27.03.2024
Страница №28 из 30:
Увеличить