Официальное опубликование правовых актов
ОФИЦИАЛЬНОЕ ОПУБЛИКОВАНИЕ
Приказ Министерства природопользования и экологии Владимирской области от 16.03.2026 № 31-н
"О внесении изменений в постановление Департамента природопользования от 20.04.2018 № 34/01-25"
(Зарегистрирован 16.03.2026 № МПЭ2026-031)
Номер опубликования: 3301202603160004
Дата опубликования: 16.03.2026
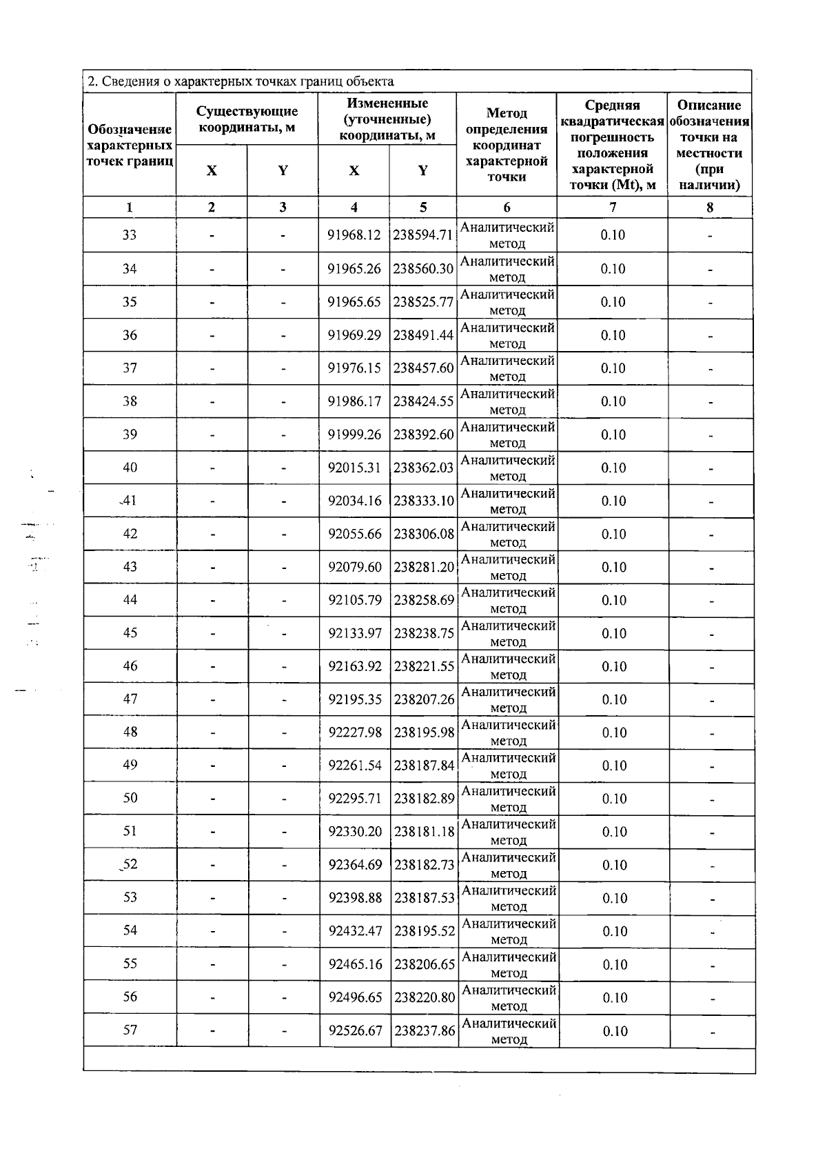
Страница №19 из 23:
Увеличить