Официальное опубликование правовых актов
ОФИЦИАЛЬНОЕ ОПУБЛИКОВАНИЕ
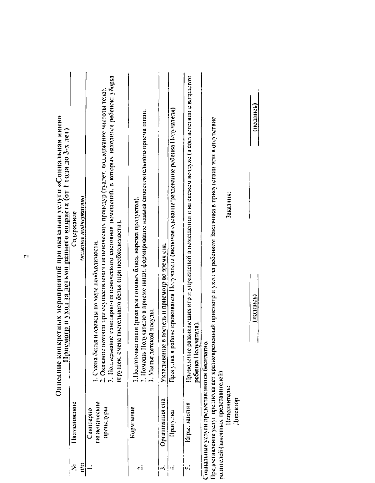
Приказ Министерства социальной защиты населения Владимирской области от 06.02.2026 № 1-н
"Об утверждении перечня пилотных организаций социального обслуживания населения, стандарта предоставления услуги по кратковременному присмотру и уходу за детьми до 3 лет на дому "Социальная няня"
(Зарегистрирован 06.02.2026 № МСЗН2026-001)
Номер опубликования: 3301202602100001
Дата опубликования: 10.02.2026
Страница №17 из 22:
Увеличить