Официальное опубликование правовых актов
ОФИЦИАЛЬНОЕ ОПУБЛИКОВАНИЕ
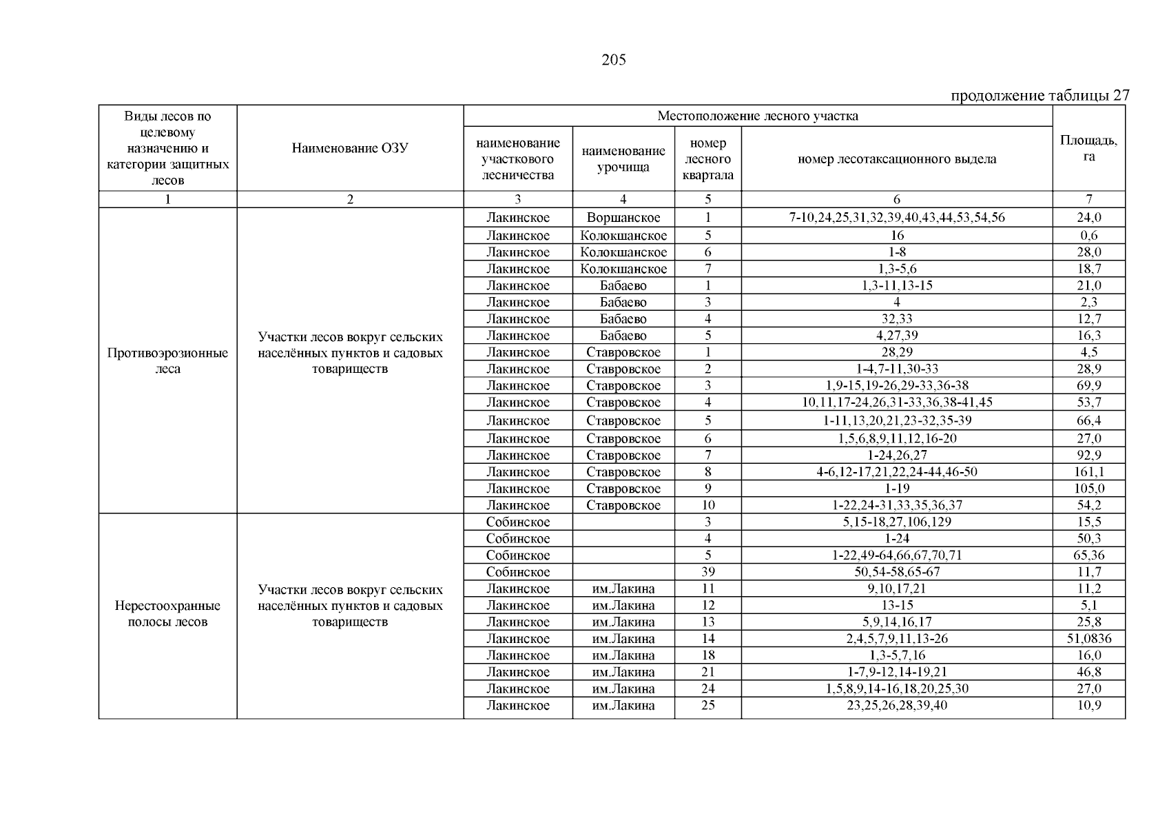
Приказ Министерства лесного хозяйства Владимирской области от 19.12.2025 № 25-н
"О внесении изменений в приложение № 10 к постановлению департамента от 22.08.2018 № 9"
(Зарегистрирован 19.12.2025 № МЛХ2025-025)
Номер опубликования: 3301202512230002
Дата опубликования: 23.12.2025
Страница №207 из 268:
Увеличить