Официальное опубликование правовых актов
ОФИЦИАЛЬНОЕ ОПУБЛИКОВАНИЕ
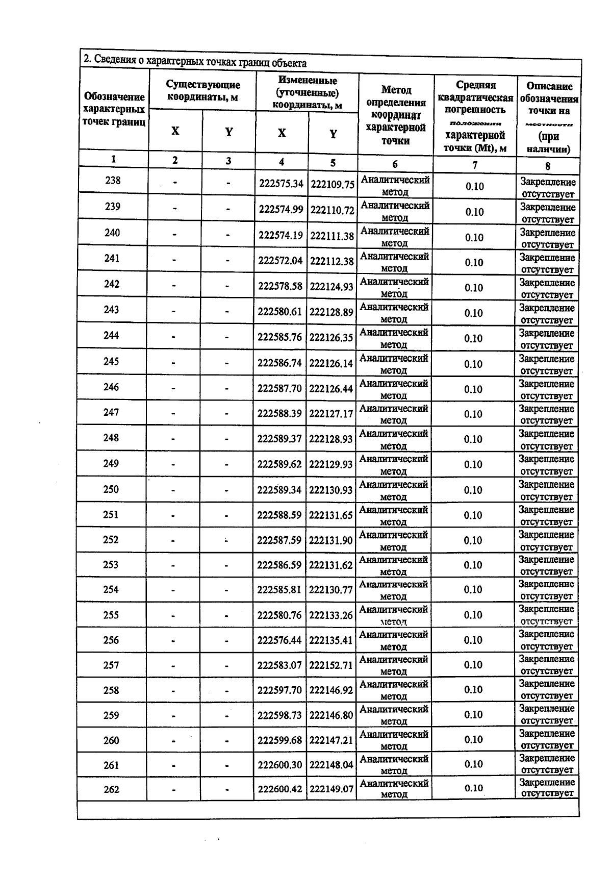
Приказ Министерства жилищно-коммунального хозяйства Владимирской области от 09.12.2025 № 100-н
"Об изменении границы охранной зоны газораспределительной сети"
(Зарегистрирован 09.12.2025 № МЖКХ2025-100)
Номер опубликования: 3301202512110001
Дата опубликования: 11.12.2025
Страница №19 из 33:
Увеличить