Официальное опубликование правовых актов
ОФИЦИАЛЬНОЕ ОПУБЛИКОВАНИЕ
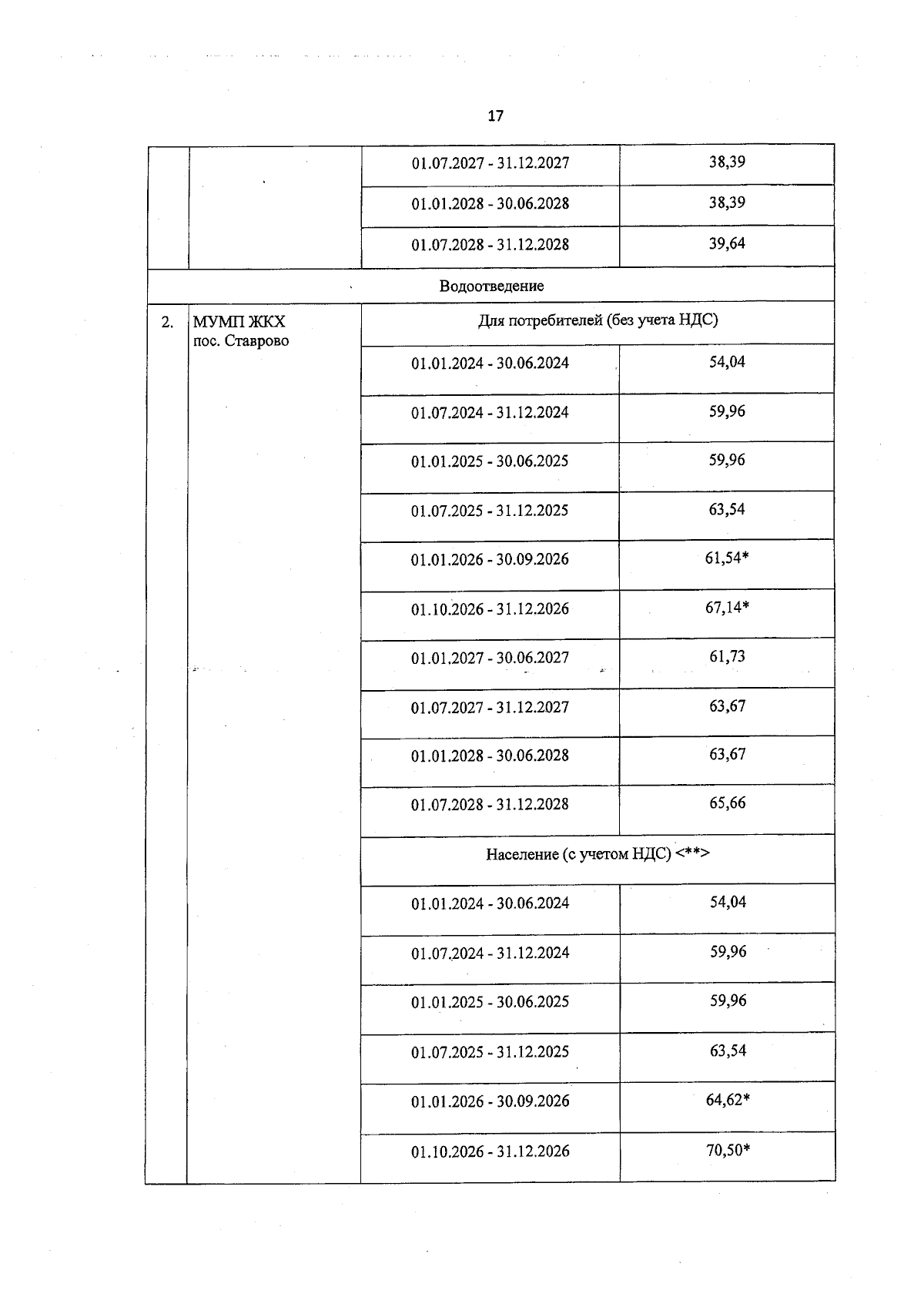
Приказ Министерства государственного регулирования цен и тарифов Владимирской области от 04.12.2025 № 45/160
"О внесении изменений в приказ Министерства государственного регулирования цен и тарифов Владимирской области от 12.12.2023 № 49/306"
(Зарегистрирован 04.12.2025 № МГРЦТ2025-160)
Номер опубликования: 3301202512100040
Дата опубликования: 10.12.2025
Страница №17 из 18:
Увеличить