Официальное опубликование правовых актов
ОФИЦИАЛЬНОЕ ОПУБЛИКОВАНИЕ
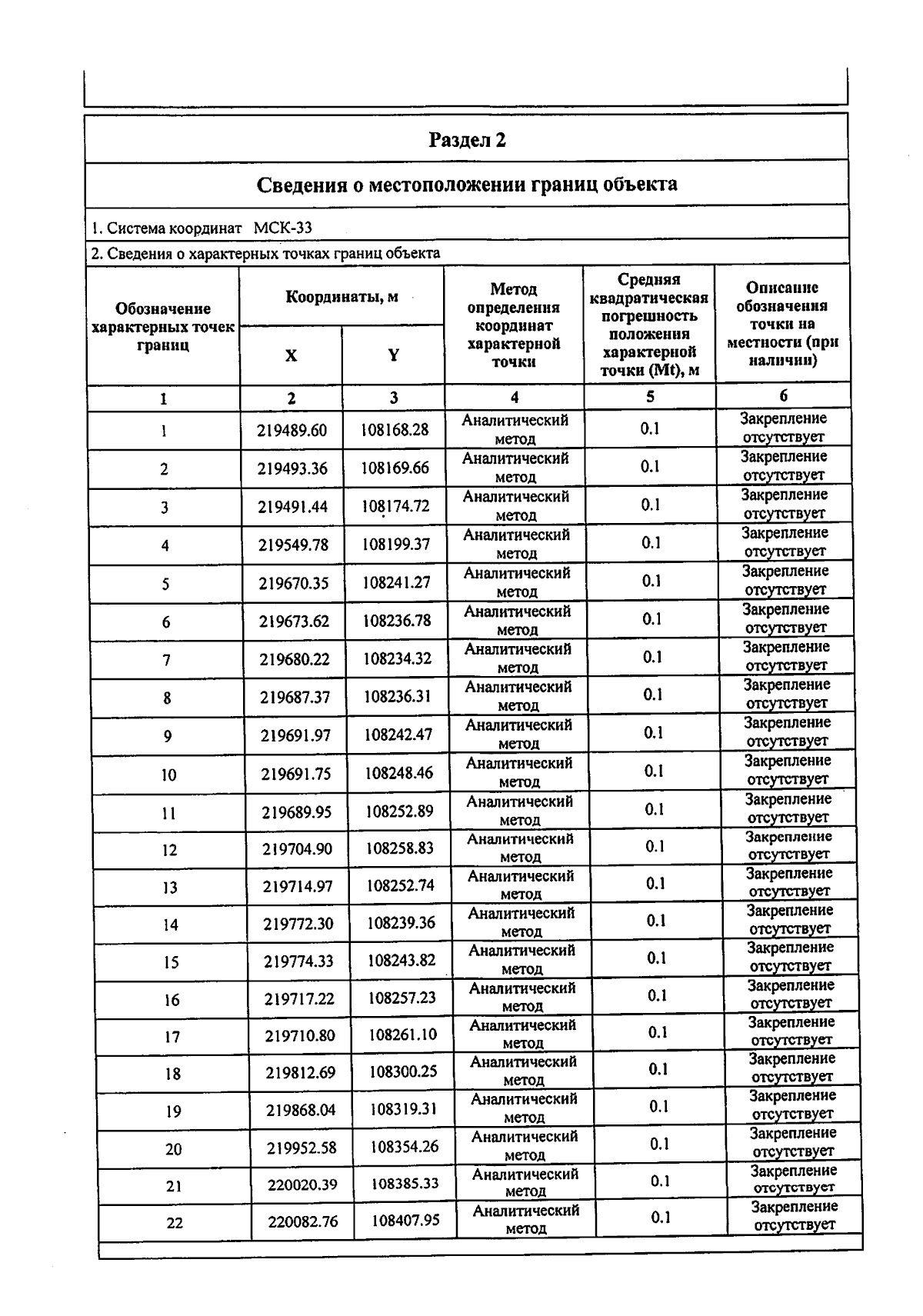
Приказ Министерства жилищно-коммунального хозяйства Владимирской области от 05.12.2025 № 96-н
"Об изменении границы охранной зоны газораспределительной сети"
(Зарегистрирован 05.12.2025 № МЖКХ2025-096)
Номер опубликования: 3301202512080003
Дата опубликования: 08.12.2025
Страница №3 из 9:
Увеличить