Официальное опубликование правовых актов
ОФИЦИАЛЬНОЕ ОПУБЛИКОВАНИЕ
Приказ Министерства природопользования и экологии Владимирской области от 21.11.2025 № 75-н
"О внесении изменений в постановление Департамента природопользования от 15.07.2020 № 89"
(Зарегистрирован 21.11.2025 № МПЭ2025-075)
Номер опубликования: 3301202511240003
Дата опубликования: 24.11.2025
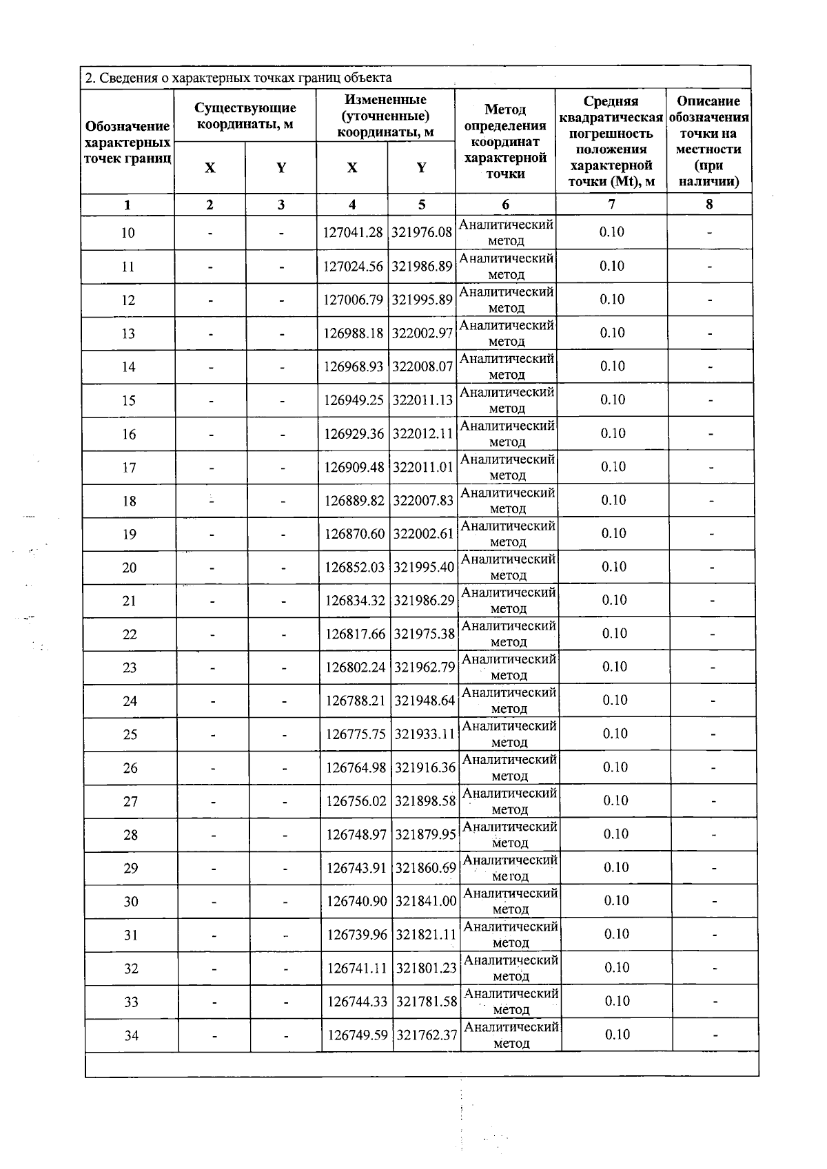
Страница №52 из 67:
Увеличить