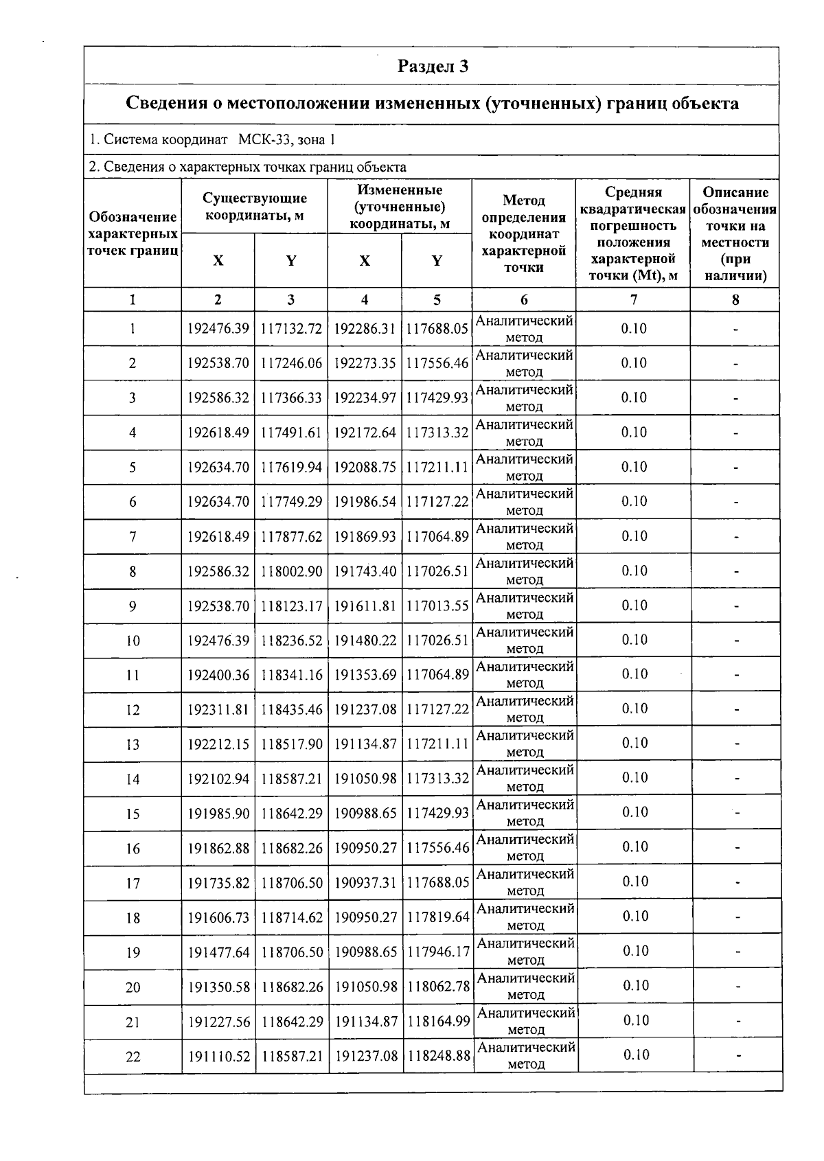
Приказ Министерства природопользования и экологии Владимирской области от 01.10.2025 № 54-н
"О внесении изменений в постановление Департамента природопользования от 20.04.2018 № 37/01-25"
(Зарегистрирован 01.10.2025 № МПЭ2025-054)
"О внесении изменений в постановление Департамента природопользования от 20.04.2018 № 37/01-25"
(Зарегистрирован 01.10.2025 № МПЭ2025-054)
Номер опубликования: 3301202510020008
Дата опубликования:
02.10.2025
