Официальное опубликование правовых актов
ОФИЦИАЛЬНОЕ ОПУБЛИКОВАНИЕ
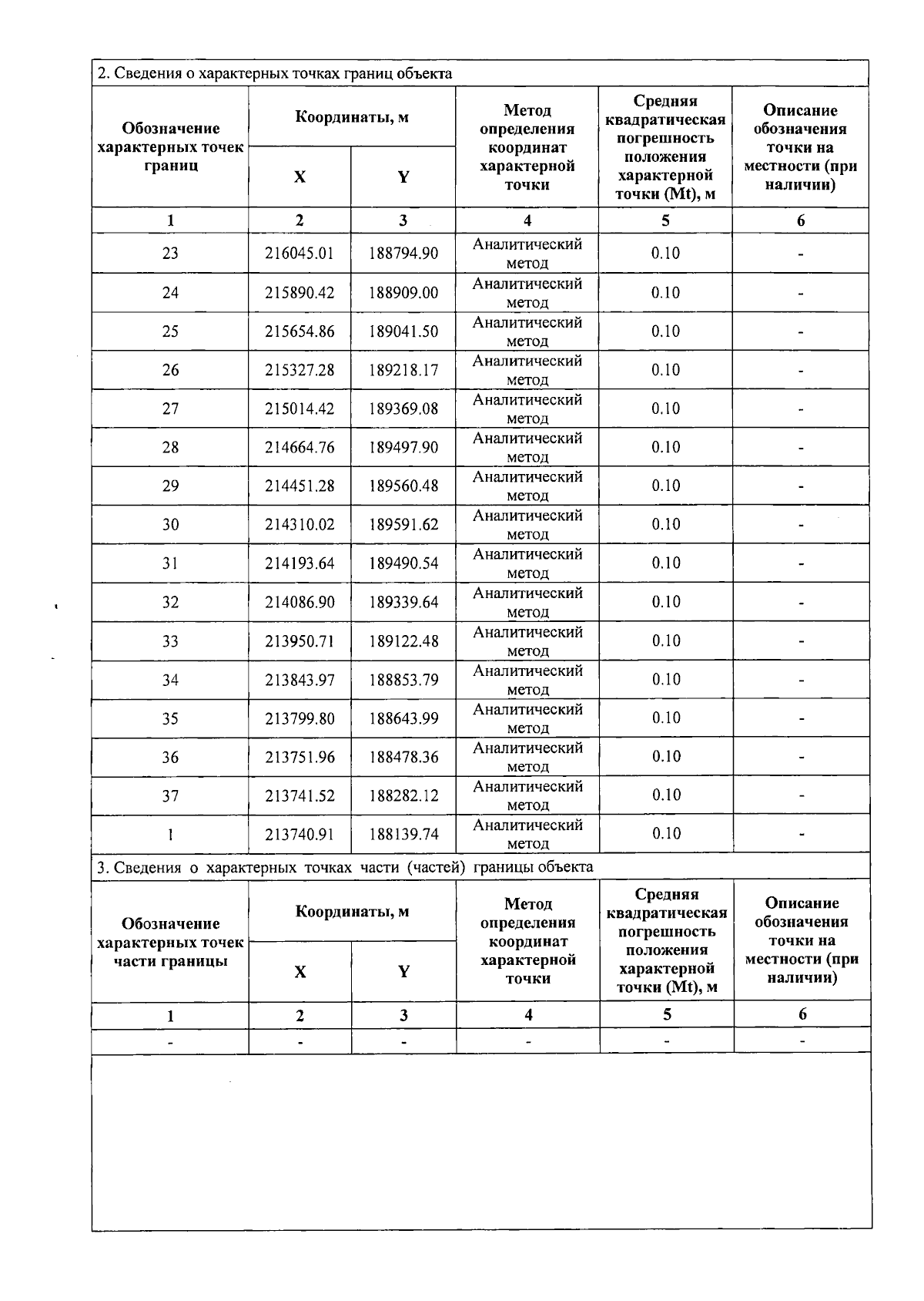
Приказ Министерства природопользования и экологии Владимирской области от 24.09.2025 № 52-н
"Об установлении зон санитарной охраны источников питьевого, хозяйственно-бытового и технического водоснабжения ООО "Красное Заречье"
(Зарегистрирован 24.09.2025 № МПЭ2025-052)
Номер опубликования: 3301202509240006
Дата опубликования: 24.09.2025
Страница №24 из 56:
Увеличить