Официальное опубликование правовых актов
ОФИЦИАЛЬНОЕ ОПУБЛИКОВАНИЕ
Приказ Министерства природопользования и экологии Владимирской области от 15.09.2025 № 46-н
"Об установлении зон санитарной охраны источников питьевого, хозяйственно-бытового и технического водоснабжения ООО "Гусар-Инвест"
(Зарегистрирован 15.09.2025 № МПЭ2025-046)
Номер опубликования: 3301202509160002
Дата опубликования: 16.09.2025
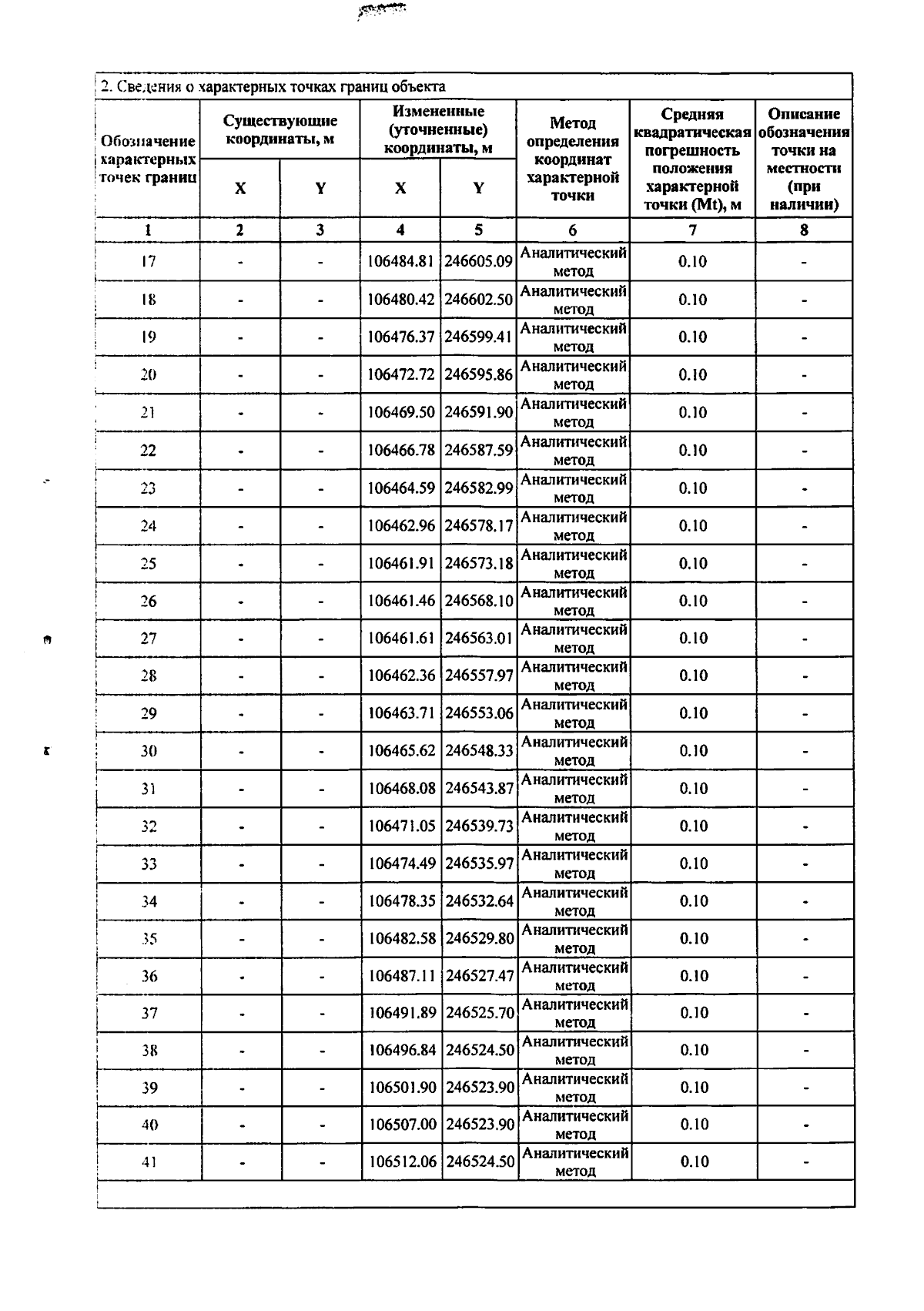
Страница №12 из 23:
Увеличить