Официальное опубликование правовых актов
ОФИЦИАЛЬНОЕ ОПУБЛИКОВАНИЕ
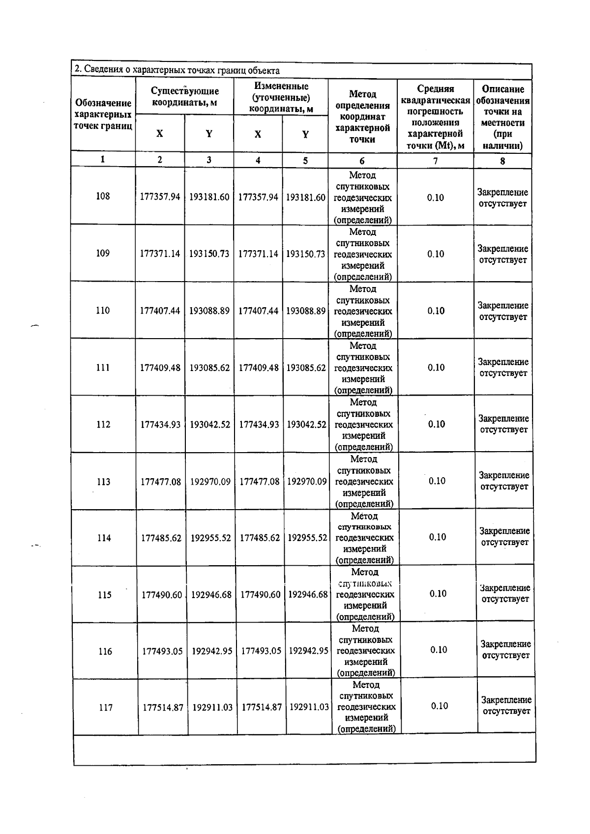
Приказ Министерства жилищно-коммунального хозяйства Владимирской области от 08.09.2025 № 76-н
"Об изменении границы охранной зоны газораспределительной сети"
(Зарегистрирован 08.09.2025 № МЖКХ2025-076)
Номер опубликования: 3301202509090001
Дата опубликования: 09.09.2025
Страница №15 из 17:
Увеличить