Официальное опубликование правовых актов
ОФИЦИАЛЬНОЕ ОПУБЛИКОВАНИЕ
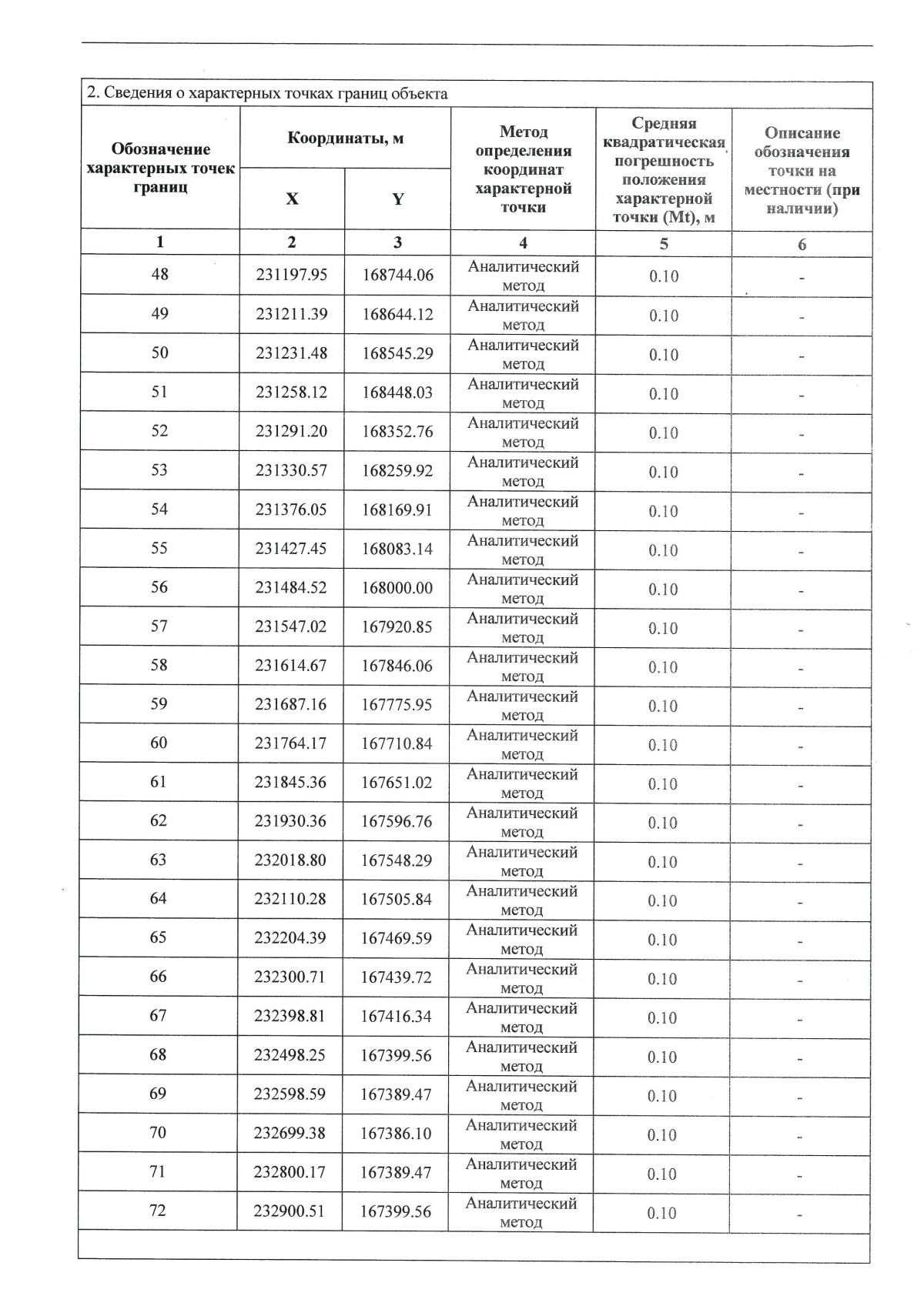
Приказ Министерства природопользования и экологии Владимирской области от 01.09.2025 № 41-н
"Об установлении зон санитарной охраны источников питьевого и хозяйственно-бытового водоснабжения МУП Юрьев-Польского района "Водоканал"
(Зарегистрирован 01.09.2025 № МПЭ2025-041)
Номер опубликования: 3301202509020002
Дата опубликования: 02.09.2025
Страница №18 из 24:
Увеличить