Официальное опубликование правовых актов
ОФИЦИАЛЬНОЕ ОПУБЛИКОВАНИЕ
Приказ Министерства природопользования и экологии Владимирской области от 01.09.2025 № 40-н
"О внесении изменений в постановление Департамента природопользования от 10.09.2018 № 84/01-25"
(Зарегистрирован 01.09.2025 № МПЭ2025-040)
Номер опубликования: 3301202509020001
Дата опубликования: 02.09.2025
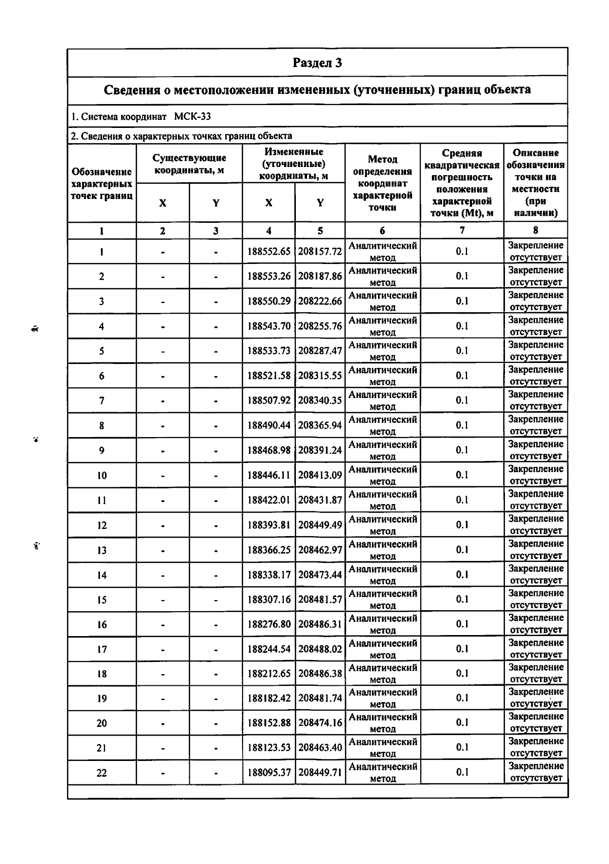
Страница №21 из 33:
Увеличить