Официальное опубликование правовых актов
ОФИЦИАЛЬНОЕ ОПУБЛИКОВАНИЕ
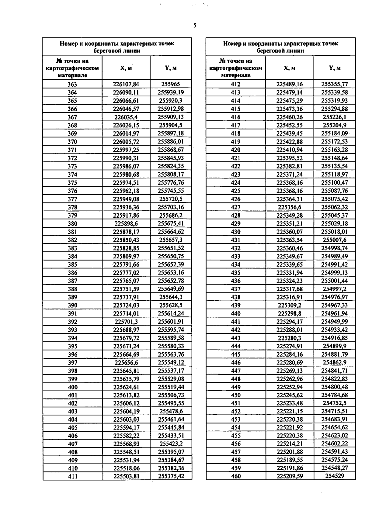
Приказ Министерства природопользования и экологии Владимирской области от 26.05.2025 № 24-н
"О внесении изменений в приказ Министерства природопользования и экологии Владимирской области от 16 июня 2023 года № 80-н"
(Зарегистрирован 26.05.2025 № МПЭ2025-024)
Номер опубликования: 3301202505260005
Дата опубликования: 26.05.2025
Страница №7 из 48:
Увеличить