Официальное опубликование правовых актов
ОФИЦИАЛЬНОЕ ОПУБЛИКОВАНИЕ
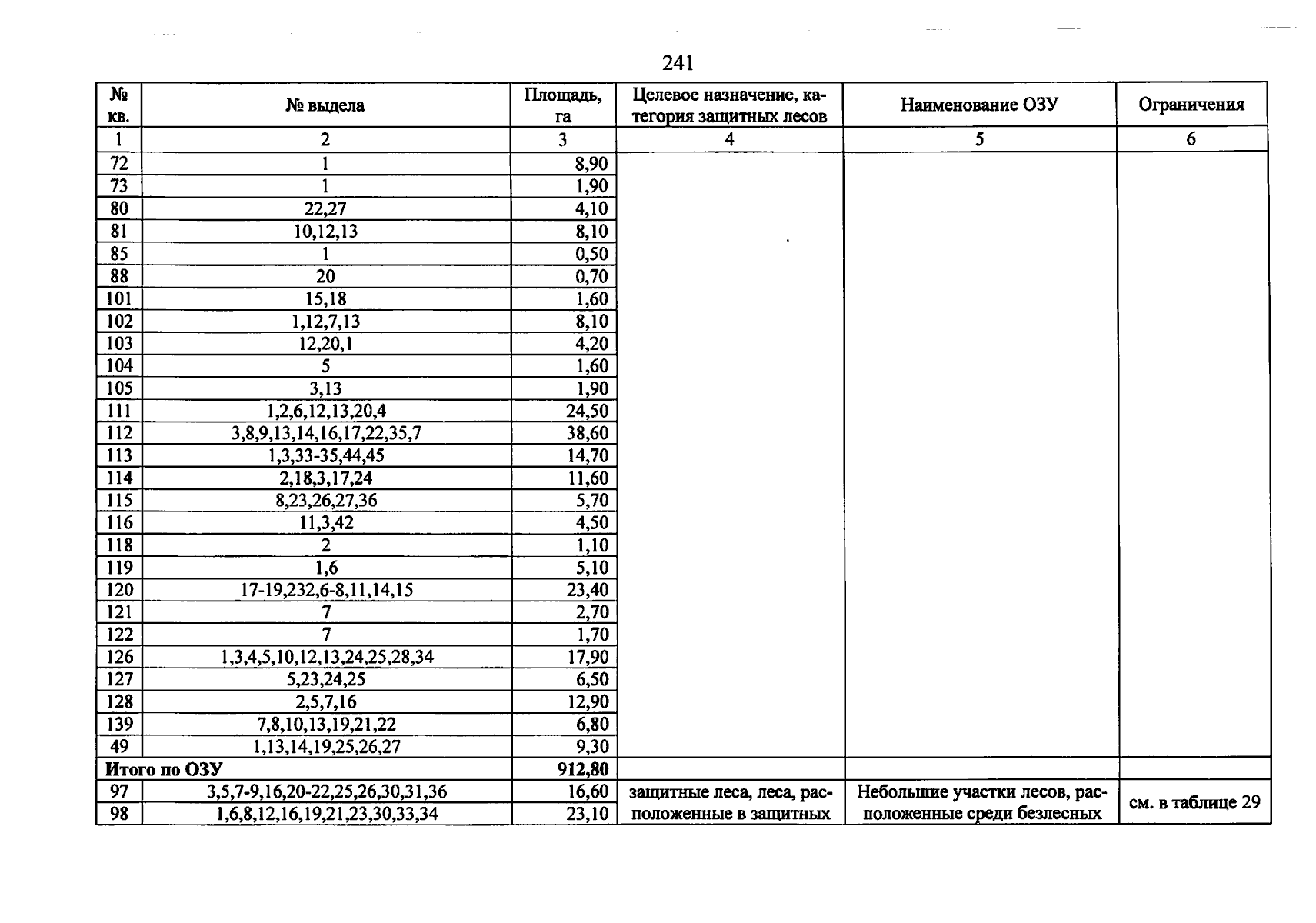
Приказ Министерства лесного хозяйства Владимирской области от 26.03.2025 № 7-н
"О внесении изменений в приложение № 1 к постановлению департамента от 22.08.2018 № 9"
(Зарегистрирован 26.03.2025 № МЛХ2025-007)
Номер опубликования: 3301202503280011
Дата опубликования: 28.03.2025
Страница №242 из 311:
Увеличить