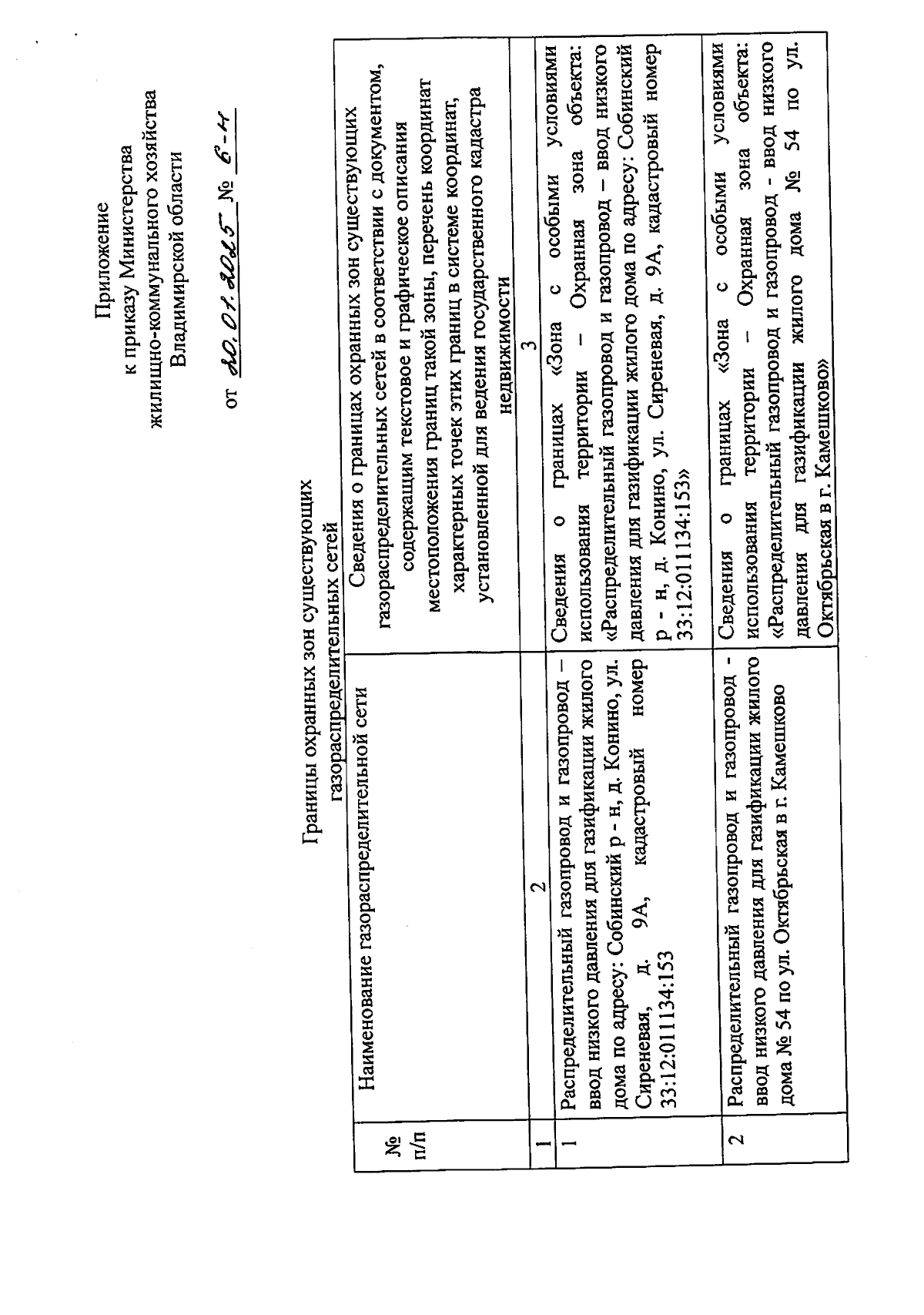
Приказ Министерства жилищно-коммунального хозяйства Владимирской области от 20.01.2025 № 6-н
"Об утверждении границ охранных зон газораспределительных сетей"
(Зарегистрирован 20.01.2025 № МЖКХ2025-006)
"Об утверждении границ охранных зон газораспределительных сетей"
(Зарегистрирован 20.01.2025 № МЖКХ2025-006)
Номер опубликования: 3301202501220010
Дата опубликования:
22.01.2025
