Официальное опубликование правовых актов
ОФИЦИАЛЬНОЕ ОПУБЛИКОВАНИЕ
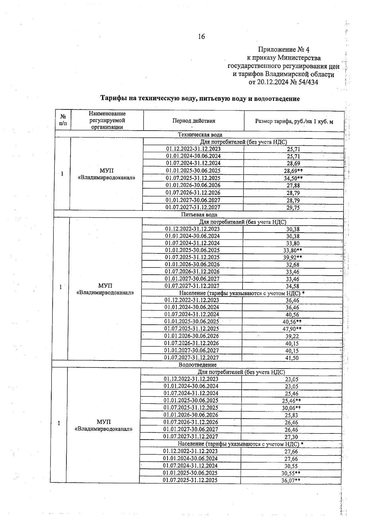
Приказ Министерства государственного регулирования цен и тарифов Владимирской области от 20.12.2024 № 54/434
"О внесении изменений в постановление Департамента государственного регулирования цен и тарифов Владимирской области от 17.11.2022 № 36/161"
(Зарегистрирован 20.12.2024 № МГРЦТ2024-434)
Номер опубликования: 3301202412290020
Дата опубликования: 29.12.2024
Страница №16 из 17:
Увеличить