Официальное опубликование правовых актов
ОФИЦИАЛЬНОЕ ОПУБЛИКОВАНИЕ
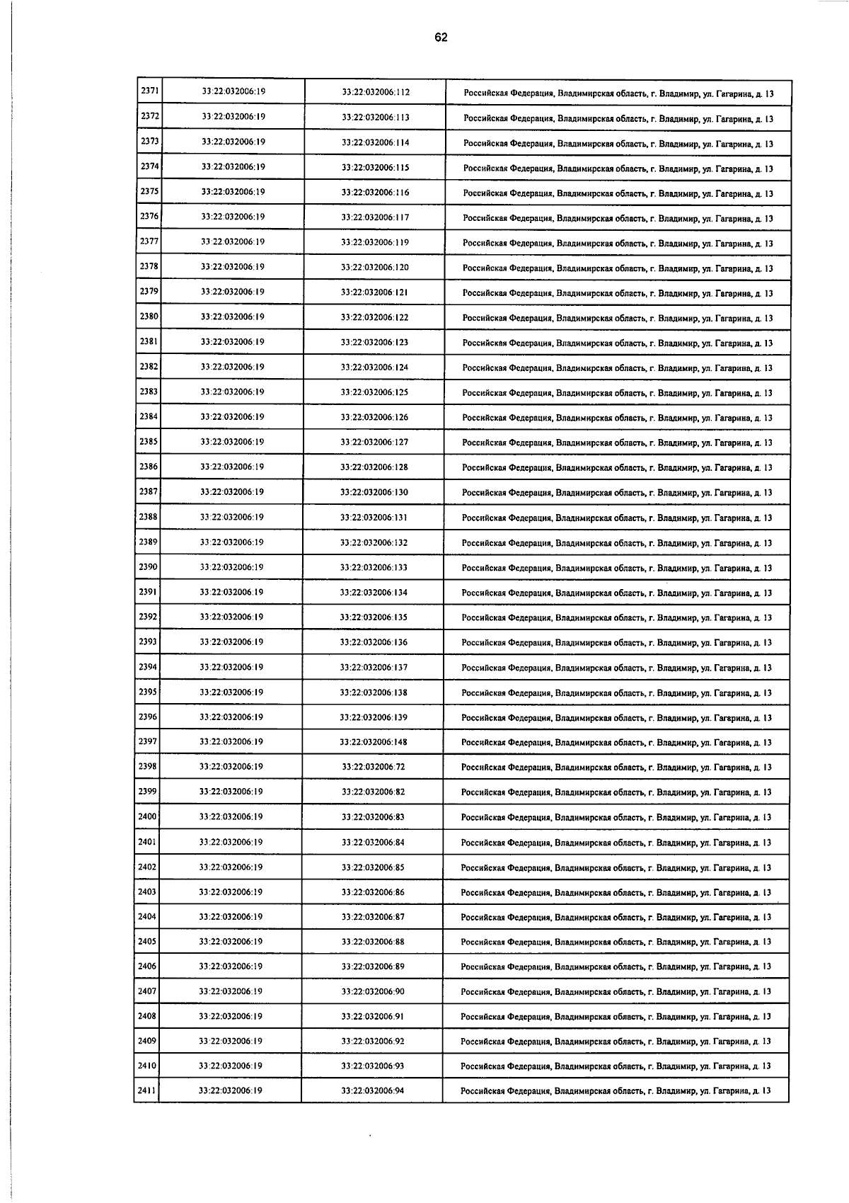
Приказ Министерства имущественных и земельных отношений Владимирской области от 26.12.2024 № 159-н
"Об определении перечня объектов недвижимого имущества, указанных в подпунктах 1 и 2 пункта 1 статьи 378.2 Налогового кодекса Российской Федерации, в отношении которых на 2025 год налоговая база определяется как кадастровая стоимость"
(Зарегистрирован 26.12.2024 № МИО2024-159)
Номер опубликования: 3301202412270002
Дата опубликования: 27.12.2024
Страница №64 из 93:
Увеличить