Официальное опубликование правовых актов
ОФИЦИАЛЬНОЕ ОПУБЛИКОВАНИЕ
Приказ Министерства природопользования и экологии Владимирской области от 25.12.2024 № 116-н
"Об установлении зон санитарном охраны источников питьевого и хозяйственно-бытового водоснабжения МУП "Суздальские коммунальные системы"
(Зарегистрирован 25.12.2024 № МПЭ2024-116)
Номер опубликования: 3301202412250057
Дата опубликования: 25.12.2024
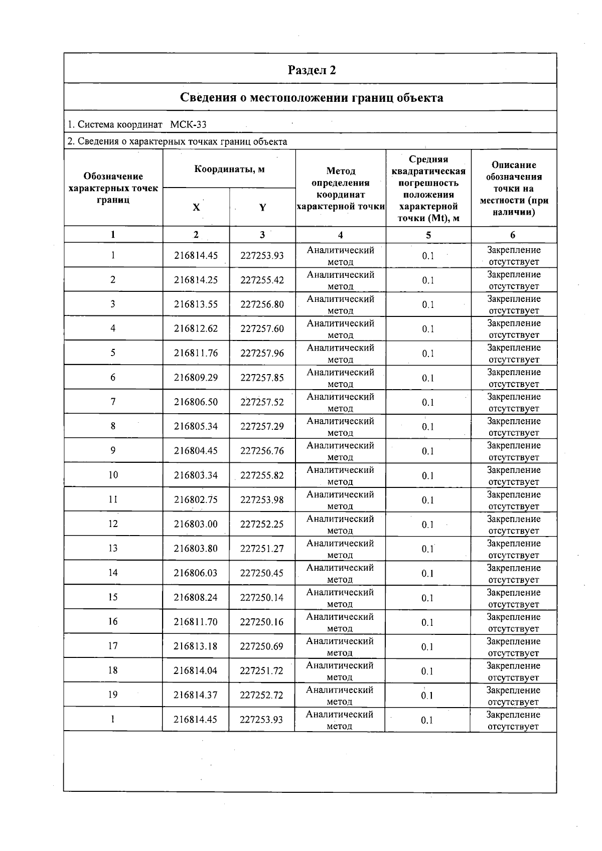
Страница №4 из 19:
Увеличить