Официальное опубликование правовых актов
ОФИЦИАЛЬНОЕ ОПУБЛИКОВАНИЕ
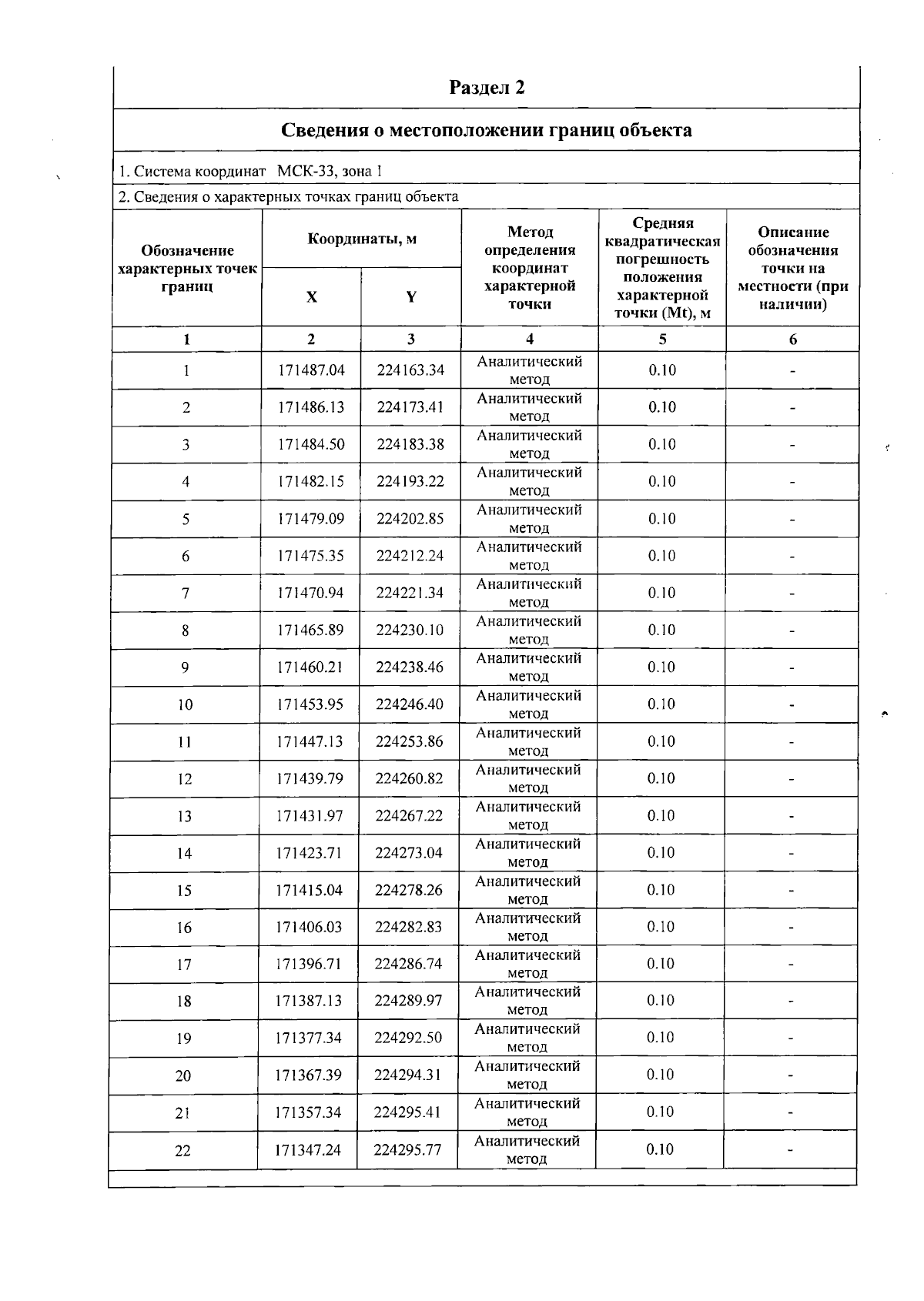
Приказ Министерства природопользования и экологии Владимирской области от 25.12.2024 № 115-н
"Об установлении зон санитарной охраны источников питьевого и хозяйственно-бытового водоснабжения ФКУ ИК-1 УФСИН России по Владимирской области"
(Зарегистрирован 25.12.2024 № МПЭ2024-115)
Номер опубликования: 3301202412250056
Дата опубликования: 25.12.2024
Страница №8 из 43:
Увеличить