Официальное опубликование правовых актов
ОФИЦИАЛЬНОЕ ОПУБЛИКОВАНИЕ
Приказ Министерства архитектуры и строительства Владимирской области от 19.12.2024 № 32-Н
"О внесении изменений в постановление Департамента архитектуры и строительства Владимирской области от 05.05.2022 № 14"
(Зарегистрирован 19.12.2024 № МАС2024-032)
Номер опубликования: 3301202412220001
Дата опубликования: 22.12.2024
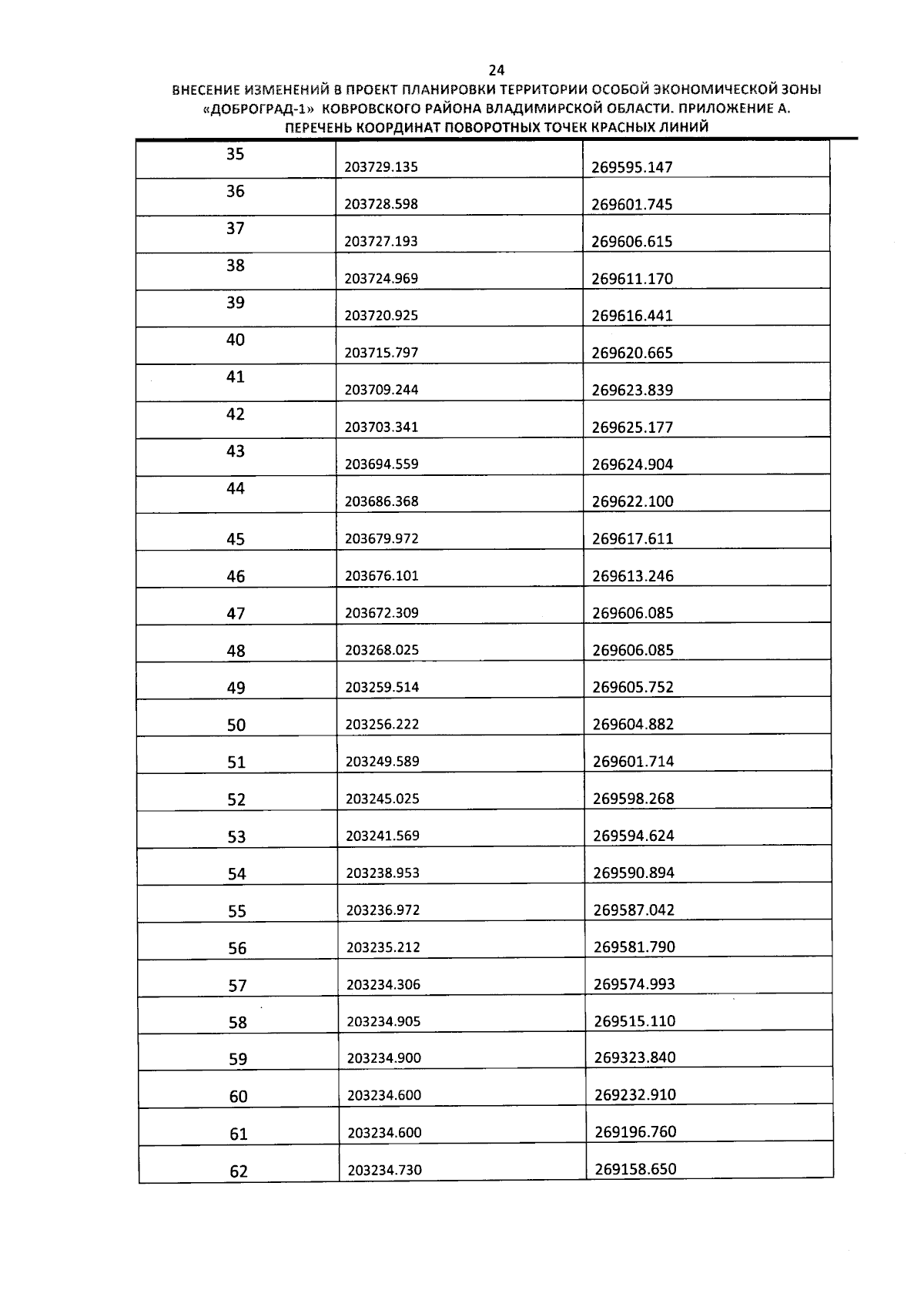
Страница №25 из 107:
Увеличить