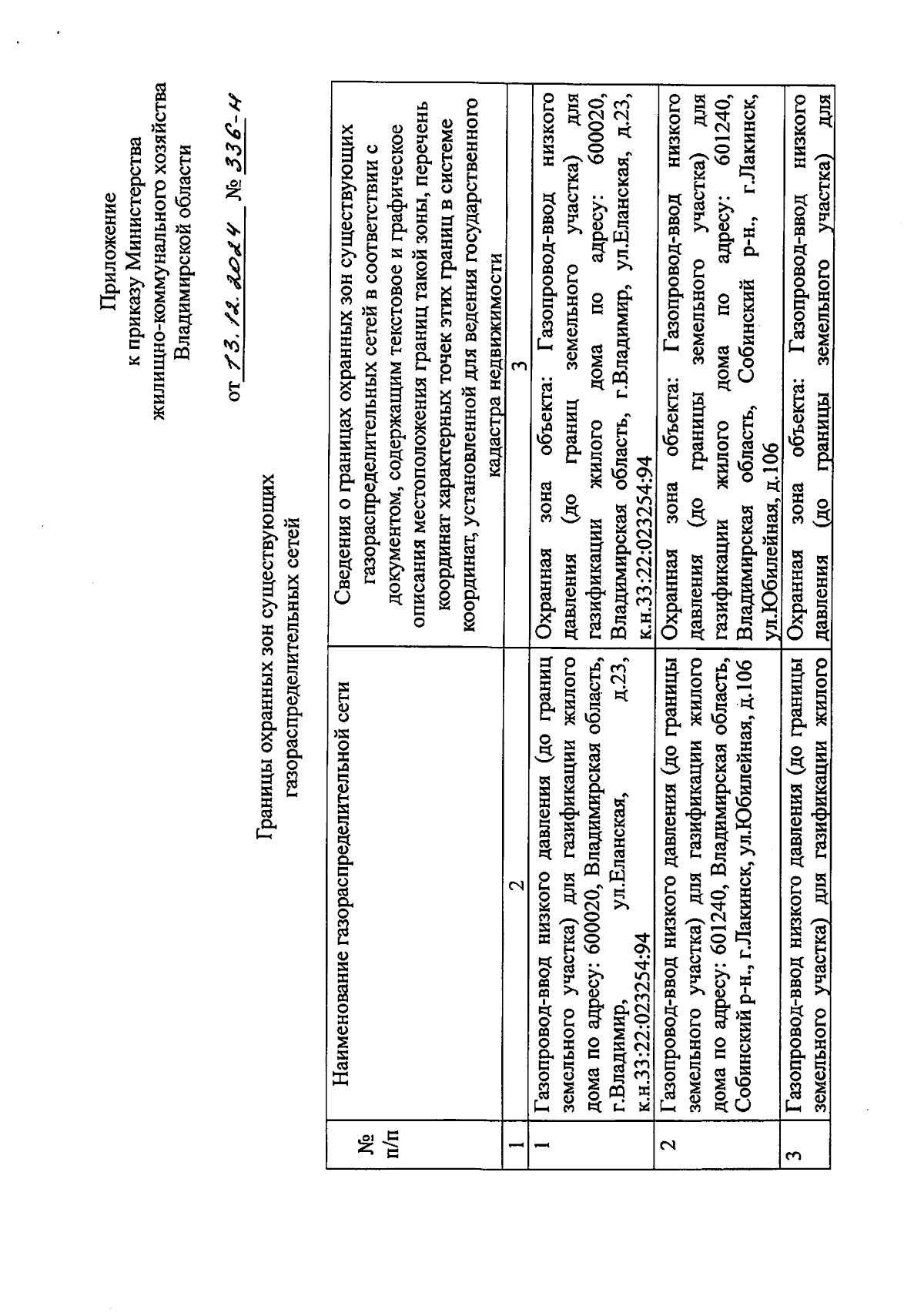
Приказ Министерства жилищно-коммунального хозяйства Владимирской области от 13.12.2024 № 336-н
"Об утверждении границ охранных зон газораспределительных сетей"
(Зарегистрирован 13.12.2024 № МЖКХ2024-336)
"Об утверждении границ охранных зон газораспределительных сетей"
(Зарегистрирован 13.12.2024 № МЖКХ2024-336)
Номер опубликования: 3301202412170027
Дата опубликования:
17.12.2024
