Официальное опубликование правовых актов
ОФИЦИАЛЬНОЕ ОПУБЛИКОВАНИЕ
Приказ Министерства природопользования и экологии Владимирской области от 17.12.2024 № 113-н
"Об установлении зон санитарной охраны источников хозяйственно-питьевого и технологического водоснабжения АОПЗ "Илькино"
(Зарегистрирован 17.12.2024 № МПЭ2024-113)
Номер опубликования: 3301202412170025
Дата опубликования: 17.12.2024
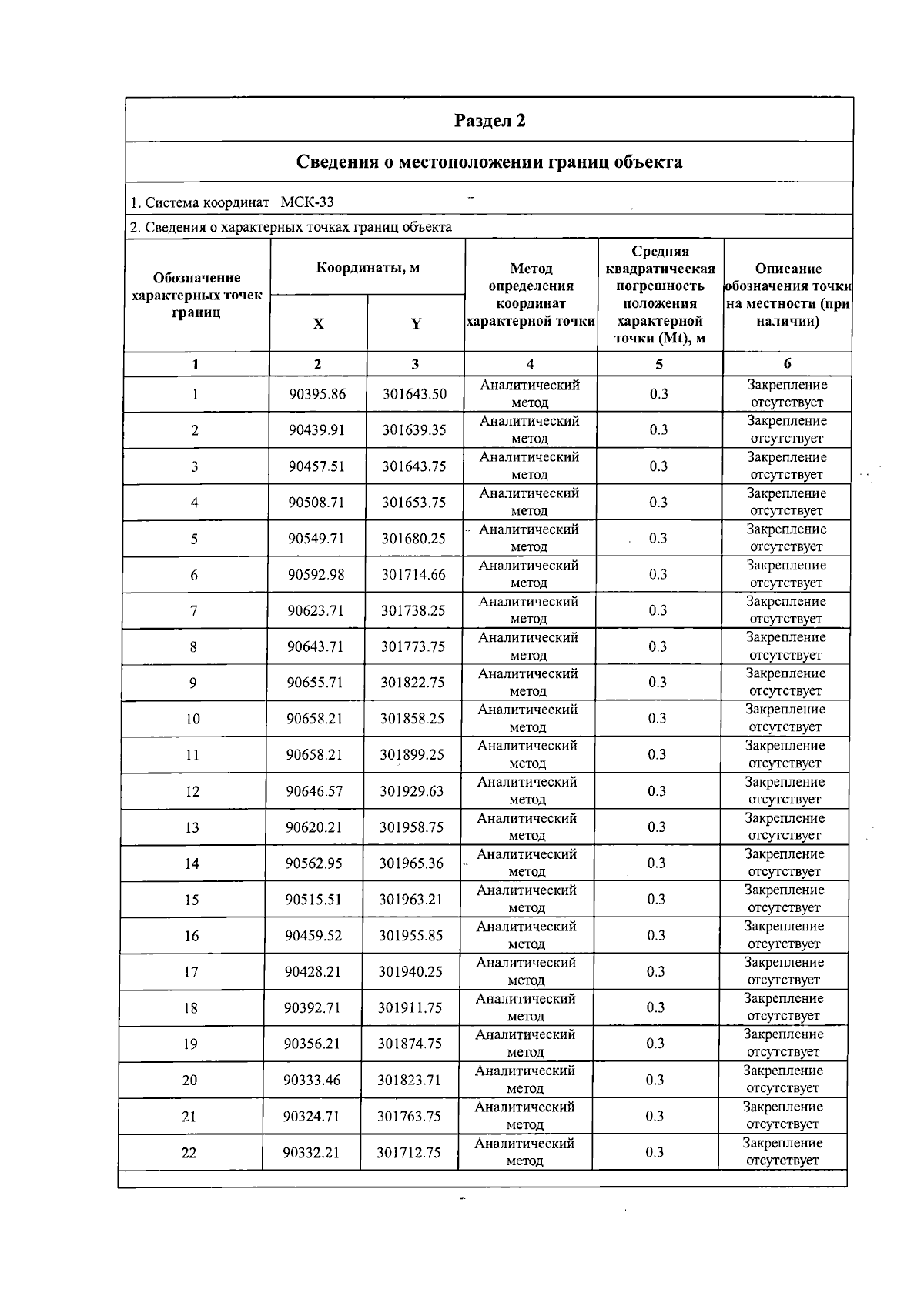
Страница №41 из 46:
Увеличить