Официальное опубликование правовых актов
ОФИЦИАЛЬНОЕ ОПУБЛИКОВАНИЕ
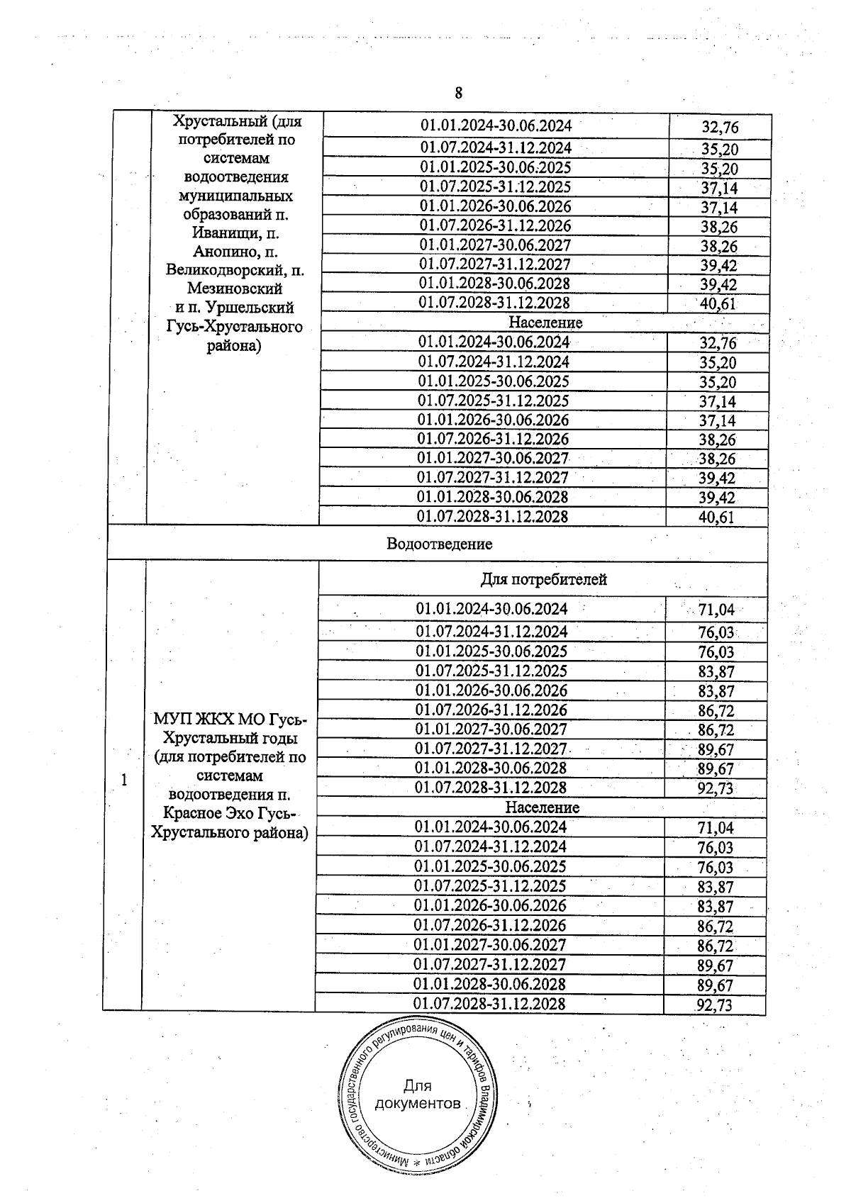
Приказ Министерства государственного регулирования цен и тарифов Владимирской области от 28.11.2024 № 47/241
"О внесении изменений в приказ Министерства государственного регулирования цен и тарифов Владимирской области от 16.11.2023 № 42/204"
(Зарегистрирован 28.11.2024 № МГРЦТ2024-241)
Номер опубликования: 3301202412050010
Дата опубликования: 05.12.2024
Страница №8 из 8:
Увеличить