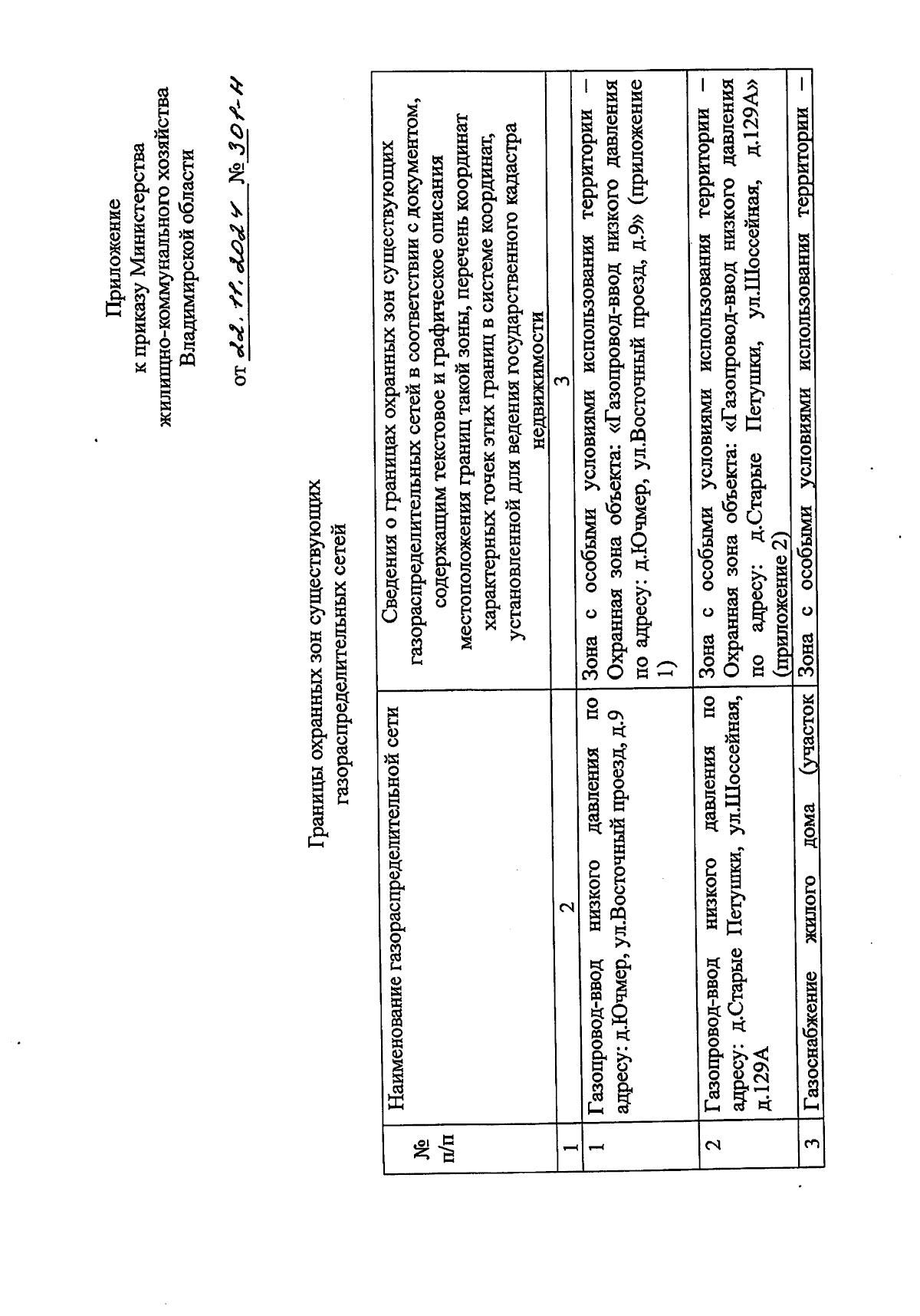
Приказ Министерства жилищно-коммунального хозяйства Владимирской области от 22.11.2024 № 301-н
"Об утверждении границ охранных зон газораспределительных сетей"
(Зарегистрирован 22.11.2024 № МЖКХ2024-301)
"Об утверждении границ охранных зон газораспределительных сетей"
(Зарегистрирован 22.11.2024 № МЖКХ2024-301)
Номер опубликования: 3301202411290010
Дата опубликования:
29.11.2024
