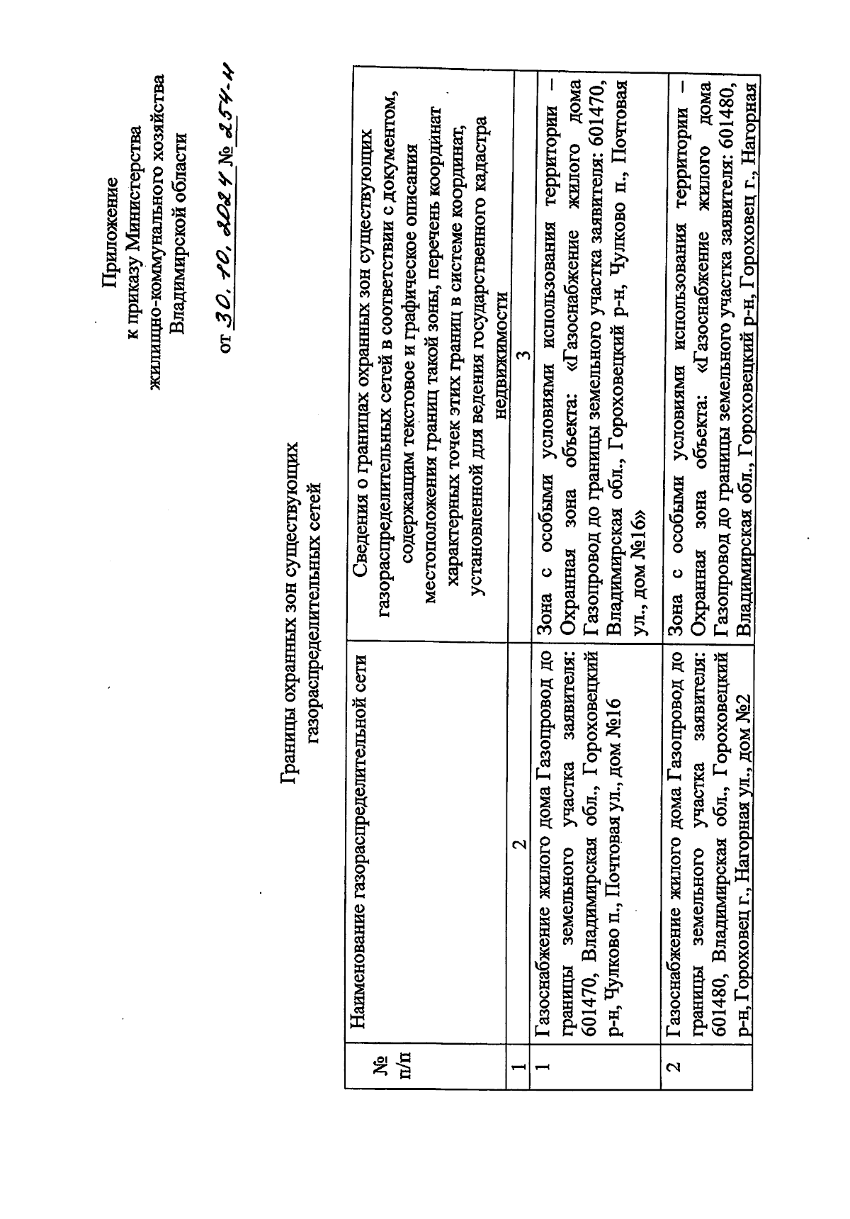
Приказ Министерства жилищно-коммунального хозяйства Владимирской области от 30.10.2024 № 254-н
"Об утверждении границ охранных зон газораспределительных сетей"
(Зарегистрирован 30.10.2024 № МЖКХ2024-254)
"Об утверждении границ охранных зон газораспределительных сетей"
(Зарегистрирован 30.10.2024 № МЖКХ2024-254)
Номер опубликования: 3301202411010008
Дата опубликования:
01.11.2024
