Официальное опубликование правовых актов
ОФИЦИАЛЬНОЕ ОПУБЛИКОВАНИЕ
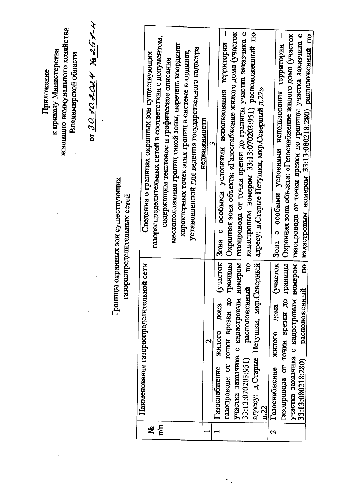
Приказ Министерства жилищно-коммунального хозяйства Владимирской области от 30.10.2024 № 251-н
"Об утверждении границ охранных зон газораспределительных сетей"
(Зарегистрирован 30.10.2024 № МЖКХ2024-251)
Номер опубликования: 3301202411010007
Дата опубликования: 01.11.2024
Страница №2 из 6:
Увеличить