Официальное опубликование правовых актов
ОФИЦИАЛЬНОЕ ОПУБЛИКОВАНИЕ
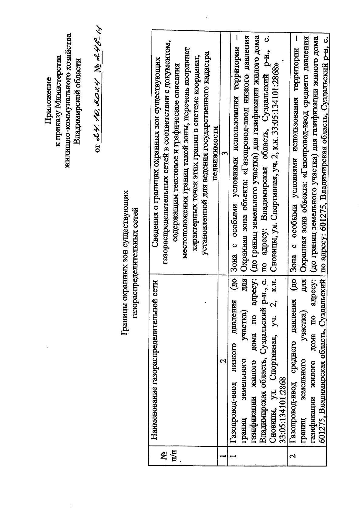
Приказ Министерства жилищно-коммунального хозяйства Владимирской области от 24.10.2024 № 246-н
"Об утверждении границ охранных зон газораспределительных сетей"
(Зарегистрирован 24.10.2024 № МЖКХ2024-246)
Номер опубликования: 3301202410280005
Дата опубликования: 28.10.2024
Страница №2 из 7:
Увеличить