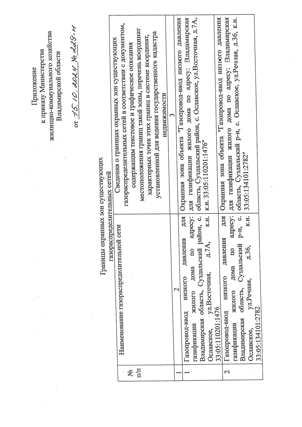
Приказ Министерства жилищно-коммунального хозяйства Владимирской области от 15.10.2024 № 229-н
"Об утверждении границ охранных зон газораспределительных сетей"
(Зарегистрирован 15.10.2024 № МЖКХ2024-229)
"Об утверждении границ охранных зон газораспределительных сетей"
(Зарегистрирован 15.10.2024 № МЖКХ2024-229)
Номер опубликования: 3301202410170009
Дата опубликования:
17.10.2024
