Официальное опубликование правовых актов
ОФИЦИАЛЬНОЕ ОПУБЛИКОВАНИЕ
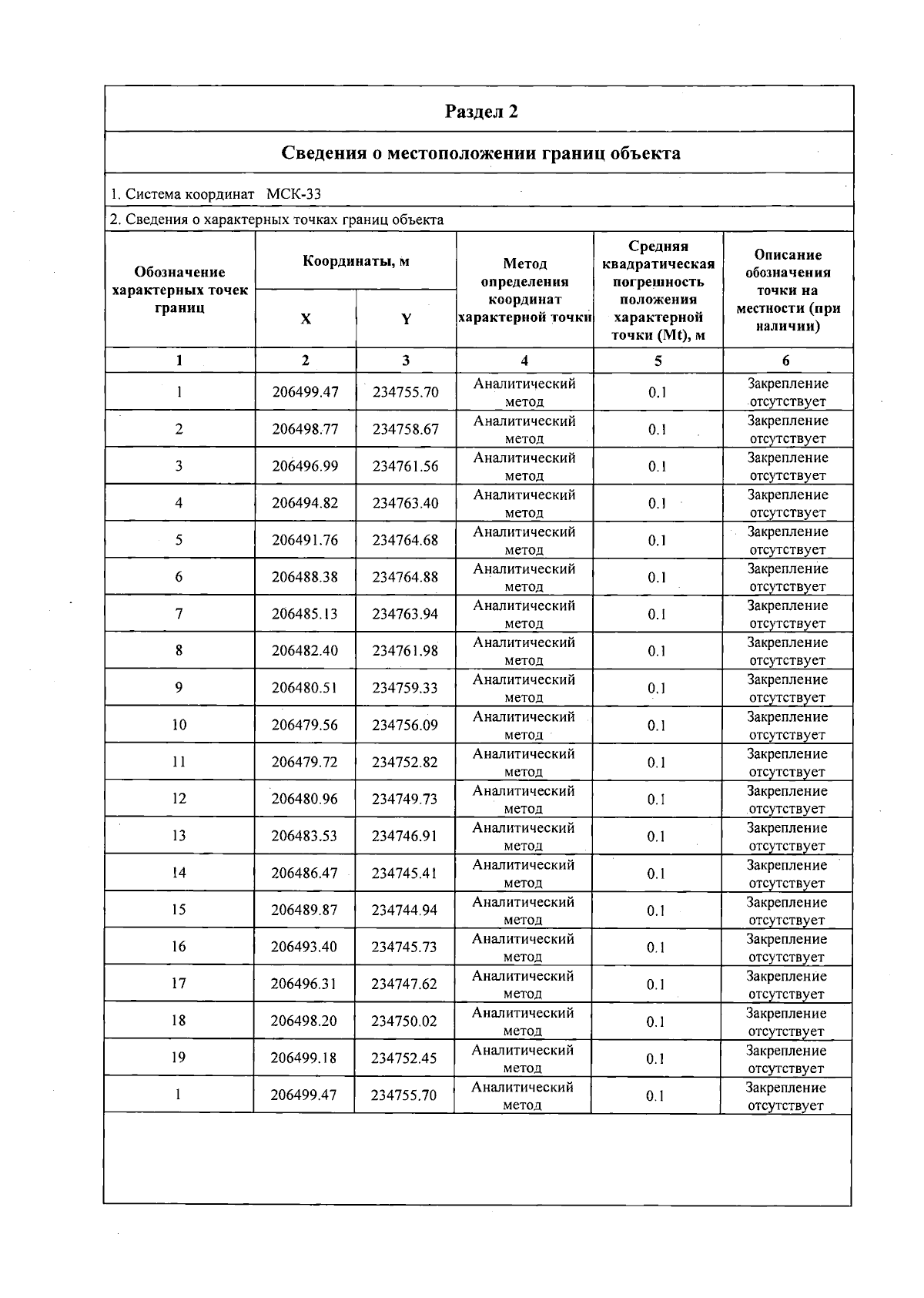
Приказ Министерства природопользования и экологии Владимирской области от 14.10.2024 № 75-н
"Об установлении зон санитарной охраны источников питьевого, хозяйственно-бытового и технического водоснабжения ООО "Суздальская пивоварня"
(Зарегистрирован 14.10.2024 № МПЭ2024-075)
Номер опубликования: 3301202410140026
Дата опубликования: 14.10.2024
Страница №9 из 35:
Увеличить