Официальное опубликование правовых актов
ОФИЦИАЛЬНОЕ ОПУБЛИКОВАНИЕ
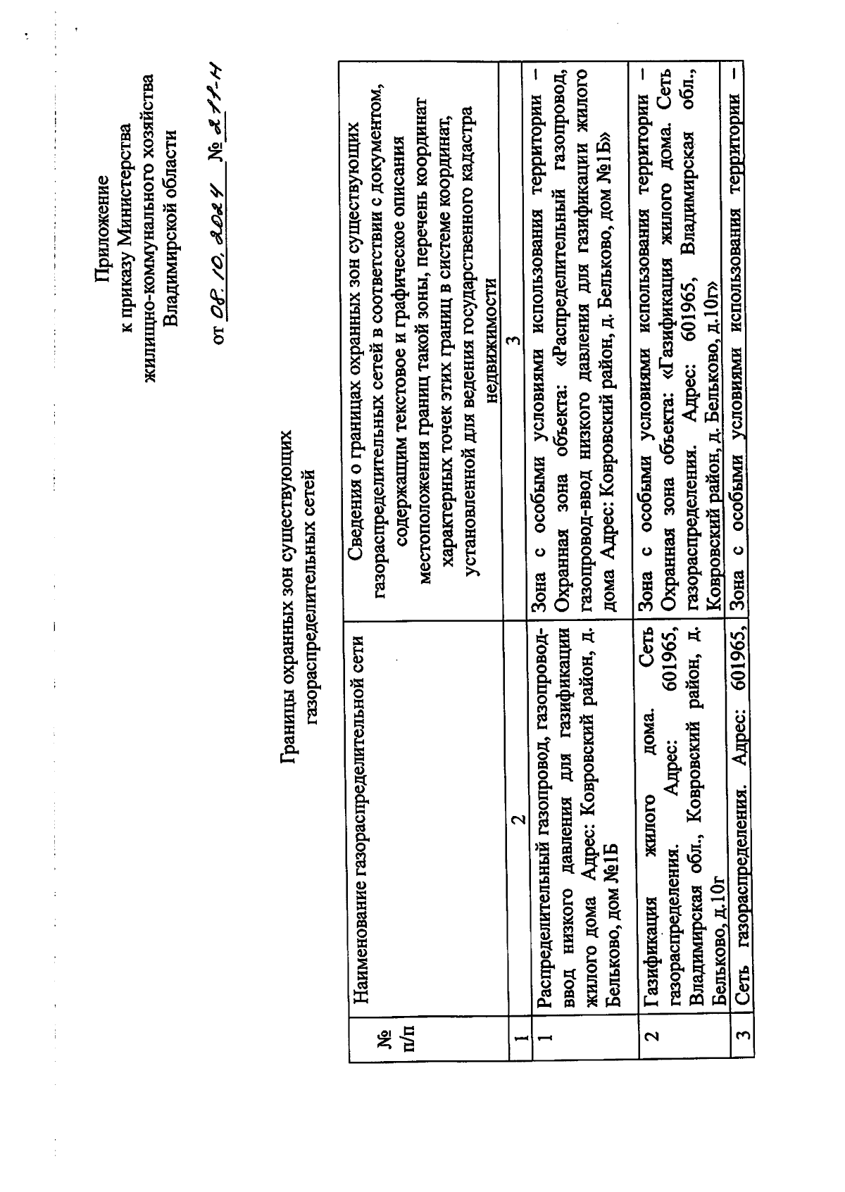
Приказ Министерства жилищно-коммунального хозяйства Владимирской области от 08.10.2024 № 211-н
"Об утверждении границ охранных зон газораспределительных сетей"
(Зарегистрирован 08.10.2024 № МЖКХ2024-211)
Номер опубликования: 3301202410140018
Дата опубликования: 14.10.2024
Страница №2 из 5:
Увеличить