Официальное опубликование правовых актов
ОФИЦИАЛЬНОЕ ОПУБЛИКОВАНИЕ
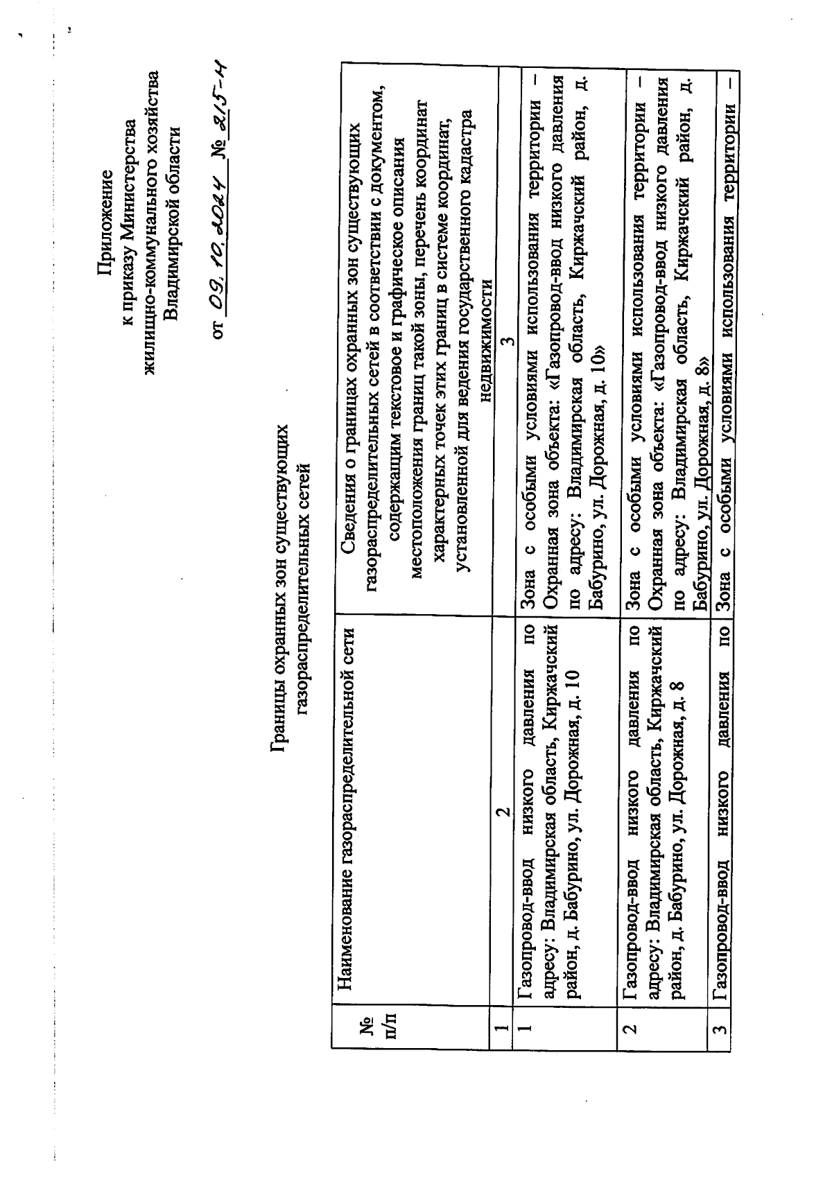
Приказ Министерства жилищно-коммунального хозяйства Владимирской области от 09.10.2024 № 215-н
"Об утверждении границ охранных зон газораспределительных сетей"
(Зарегистрирован 09.10.2024 № МЖКХ2024-215)
Номер опубликования: 3301202410140017
Дата опубликования: 14.10.2024
Страница №2 из 6:
Увеличить